Предмет: Математика,
автор: serikkankyzyulpan
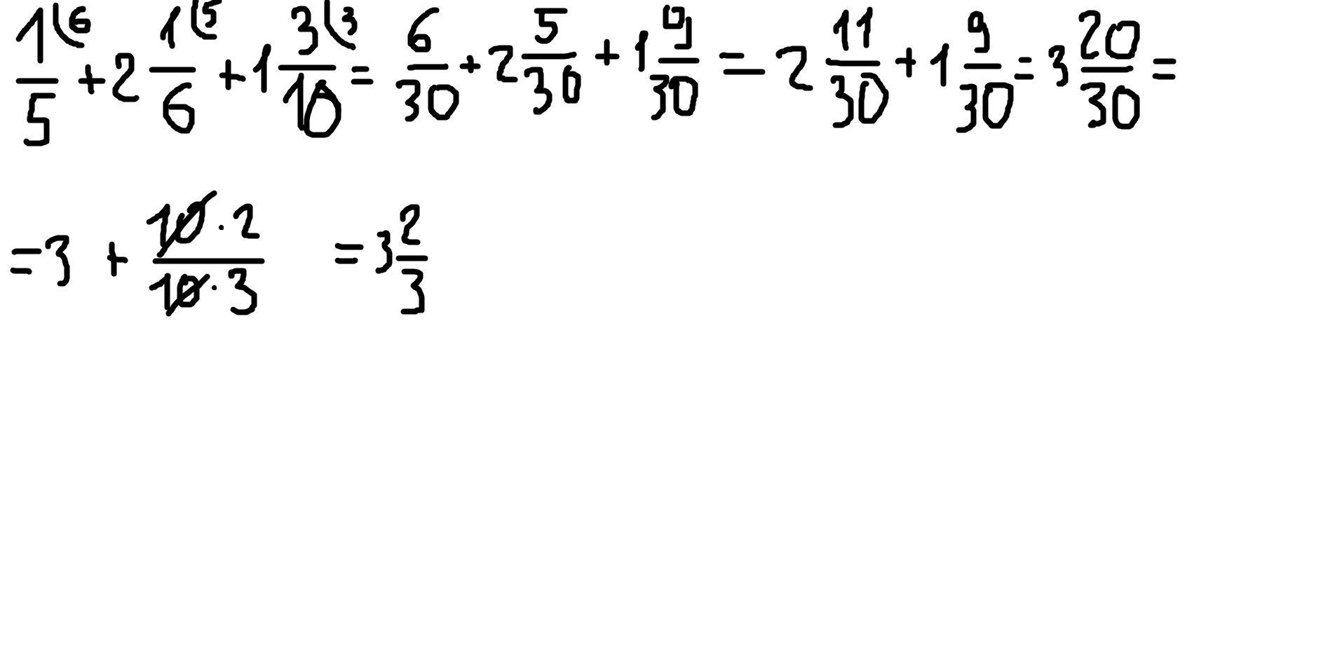
1/5+2 1/6+1 3/10
Помогите пожалуйста!
Ответы
Автор ответа:
0
Ответ: 3 2/3
Пошаговое объяснение: смотри на фото. ↓↓↓
Приложения:
Похожие вопросы
Предмет: Математика,
автор: bdiana471
Предмет: Математика,
автор: Danila27112002
Предмет: Химия,
автор: Степан07
Предмет: Алгебра,
автор: лилия377
Предмет: Математика,
автор: fe0i1ur8