Предмет: Математика,
автор: SaDari0203
y=4/5x+2 функциясының абсцисса осімен қиылысу нүктесінің
координатасын табыңыз
A) (- 15, 0) В) (-1/15;0) C) (1/15;0) Д) (15; 0)
Ответы
Автор ответа:
10
Ответ:
Пошаговое объяснение:
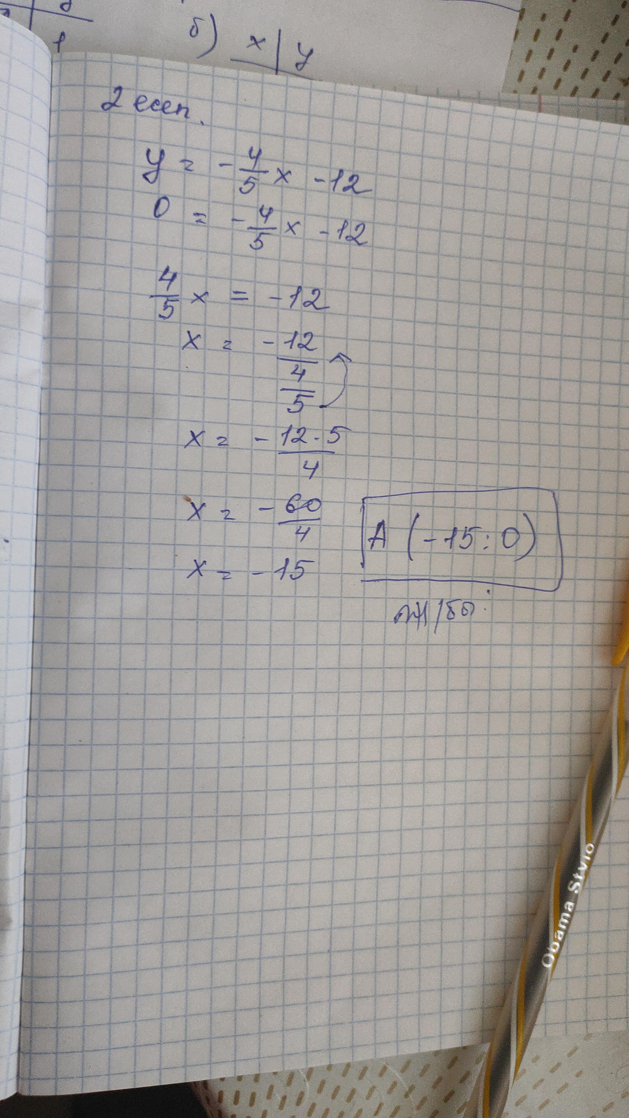
Фотода көрсетілген
Приложения:
gulnaraaralbayeva83:
дурыс
дұрыс қо ия мынау
2. [1 балл] у= - функциясының абсцисса осімен қиылысунүктесінің
координатасын табыңыз:
координатасын табыңыз:
осы барма
2. [1 балл] у= - функциясының абсцисса осімен қиылысунүктесінің
координатасын табыңыз:
координатасын табыңыз:
2. [1 балл] у= - 4/7 x 12 функциясының абсцисса осімен қиылысунүктесінің
координатасын табыңыз:
координатасын табыңыз:
2. [1 балл] у= - функциясының абсцисса осімен қиылысунүктесінің
координатасын табыңыз:
координатасын табыңыз:
хочу пососать у тебя
социииии бум соцциииииии сооооциииииии бум бум бум бум бум могу Гия
ты собсем что ли я тут не могу ответы найти а ты тут какой то соци чё это такое ?
Похожие вопросы
Предмет: История,
автор: Alexandra321
Предмет: История,
автор: Aнастейша
Предмет: Русский язык,
автор: suslova260289
Предмет: Математика,
автор: НикитаЕгоров1