Предмет: Математика,
автор: VostrMax
Решите пожалуйста)
СРОЧНО!!!
Приложения:
Ответы
Автор ответа:
1
Держи калькулятор
https://ru.onlinemschool.com/math/assistance/fraction/fraction_compar/
Он позволяет сравнивать дроби
VostrMax:
Спасибо большое!
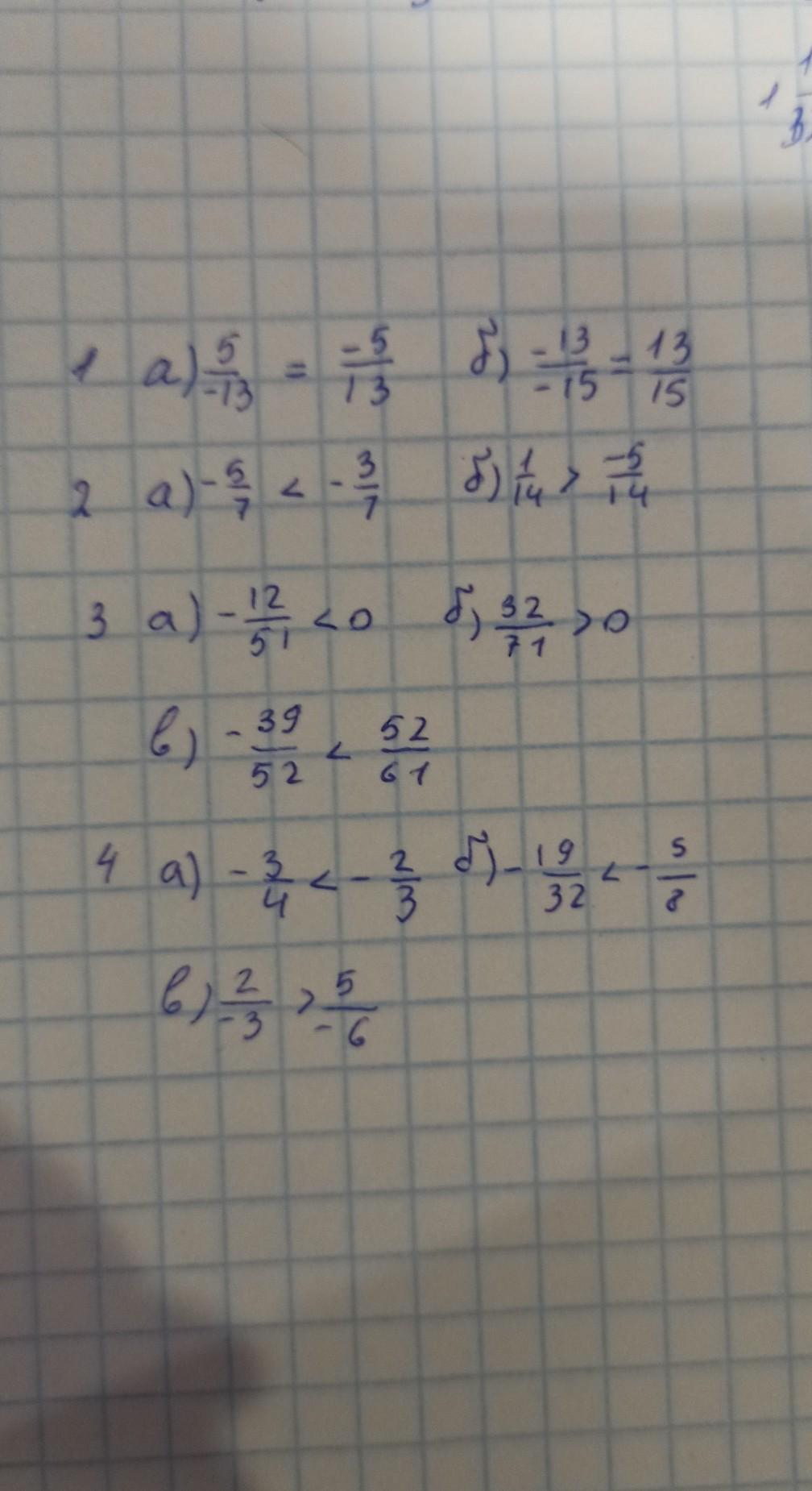
Автор ответа:
1
Пошаговое объяснение:
надеюсь мой подчерк понятный))
Приложения:
Чувак, спасибо тебе большое!
Похожие вопросы
Предмет: История,
автор: Alesya135
Предмет: Математика,
автор: Milanamikhaylo
Предмет: Математика,
автор: Kotelok88
Предмет: Математика,
автор: kuleshovglebka
Предмет: Биология,
автор: sofia8668p1h26t