Предмет: Алгебра,
автор: TTR125
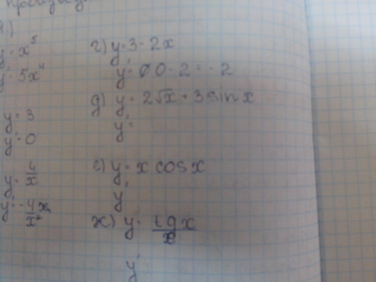
найдите производную,плиз
Приложения:
Ответы
Автор ответа:
0
Сама с этим мучаюсь.
Автор ответа:
0
г) y=3-2x
y'=0-2 (x)'=-2
д) y=2Vx+3sinx
y'=2 (Vx)'+3(sinx)'
y'=2*1/2Vx+3cosx=2/2Vx+3cosx=1/Vx+3cosx
e) y=xcosx
y'=1*(-sinx)=-sinx
ж)y=tgx/x
y'=(tgx)'*x-(x)'*tgx/x^2=1/cos^2x*x-tgx/x^2=1/cos^2-tgx/x^2=1+tg^2x-tgx/x^2
y'=0-2 (x)'=-2
д) y=2Vx+3sinx
y'=2 (Vx)'+3(sinx)'
y'=2*1/2Vx+3cosx=2/2Vx+3cosx=1/Vx+3cosx
e) y=xcosx
y'=1*(-sinx)=-sinx
ж)y=tgx/x
y'=(tgx)'*x-(x)'*tgx/x^2=1/cos^2x*x-tgx/x^2=1/cos^2-tgx/x^2=1+tg^2x-tgx/x^2
Похожие вопросы
Предмет: Литература,
автор: annanovakivska063
Предмет: Русский язык,
автор: dodic24
Предмет: Математика,
автор: nastyamuha0
Предмет: Алгебра,
автор: Veroha
Предмет: Обществознание,
автор: Shcoolgirl