Предмет: Математика,
автор: kulzanovabaan288
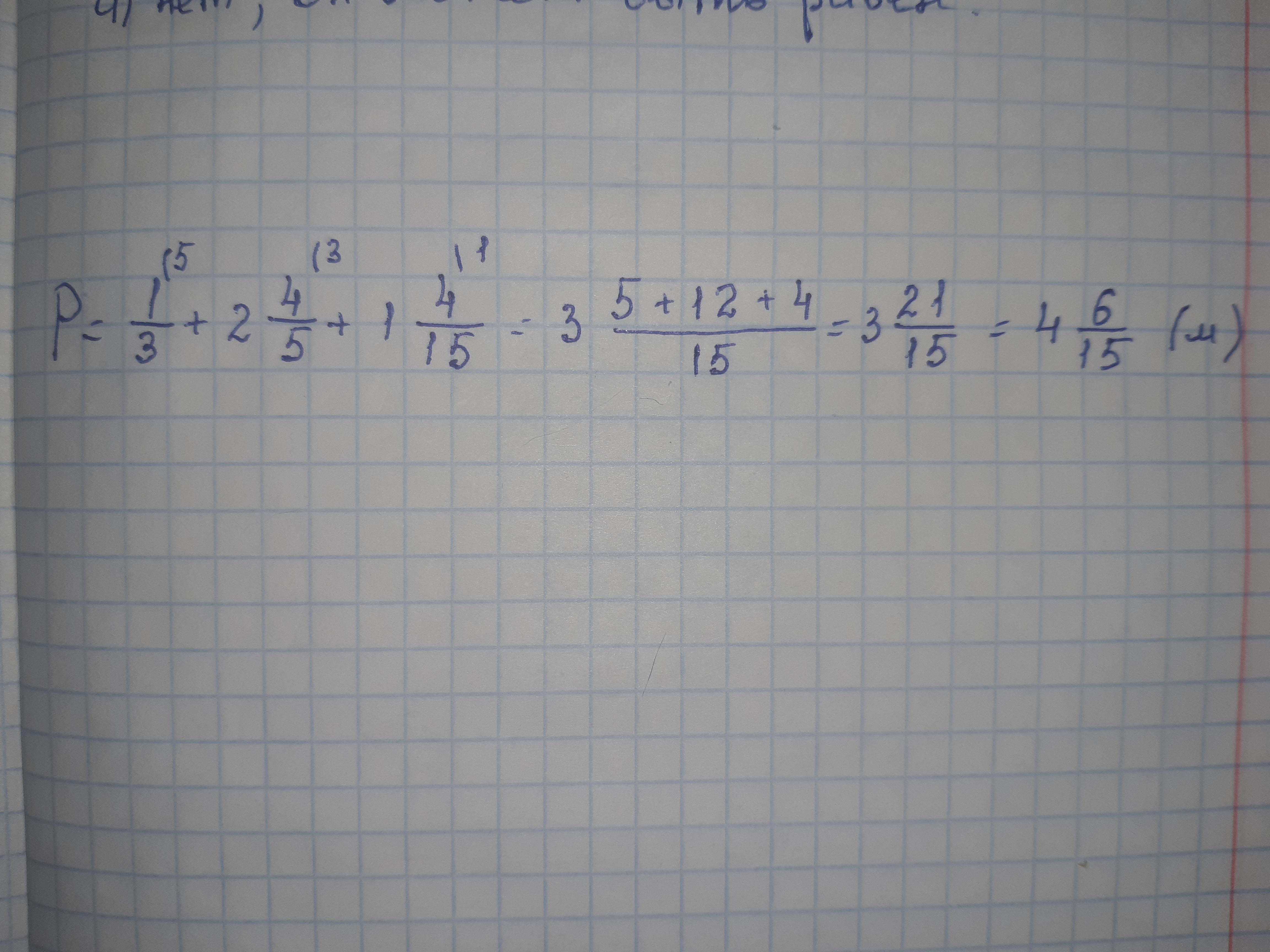
Найдите периметр треугольника 1/3м,2 4/5 м,1 4/15м
Приложения:
Ответы
Автор ответа:
3
Ответ:
1/3+2 4/5+1 4/15=5/15+2 12/15+1 4/15=3 21/15=4 6/15
kulzanovabaan288:
Точно правильно?
Да
Автор ответа:
16
Ответ:
4 целых 6/15 (м)
Пошаговое объяснение:
Приложения:
Спасибо ты мне в 10000000 раз облегчил жизнь
пожалуйста) я рад)
СПАСИБО я это уже минут 40 ищу
Похожие вопросы
Предмет: Алгебра,
автор: madinalove
Предмет: Химия,
автор: Yaaankas
Предмет: Русский язык,
автор: klodfaystas
Предмет: Математика,
автор: ksenka05
Предмет: Алгебра,
автор: Заяц1444