Предмет: Алгебра,
автор: Аноним
ДАЮ 30 баллов! ПОМОГИТЕ ПОЖАЛУЙСТА!
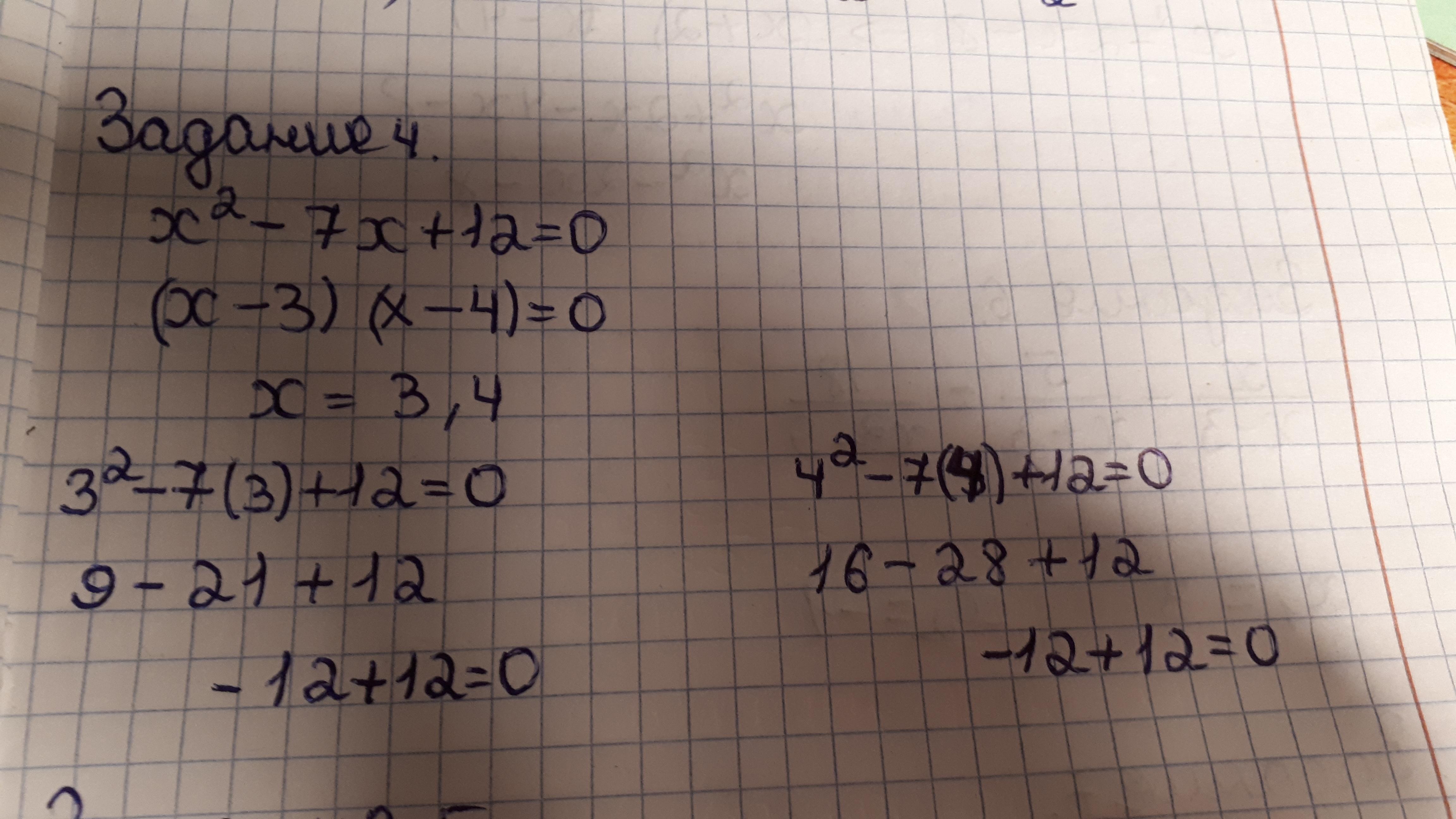
Найдите значения суммы и произведения корней уравнения:
х2-7х+12—0
варианты на фото
Приложения:
Ответы
Автор ответа:
3
Ответ:тут решение,а также ответы в Онлайн Мектеп 100%%правильно
Объяснение:
Приложения:
isakovagulnaz:
можете помочь с СОЧем по алгебре 6 задание
задай вопрос,потом я отвечу,но меня позови
я тебе помогу
Похожие вопросы
Предмет: Математика,
автор: vesnu
Предмет: Другие предметы,
автор: ahmadeev2001
Предмет: Математика,
автор: mariya00870
Предмет: Химия,
автор: Makc857
Предмет: Информатика,
автор: nskcards