Предмет: Алгебра,
автор: gorbunova2005
Помогите пожалуйста
Приложения:
Ответы
Автор ответа:
1
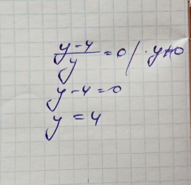
Ответ:
См фото0000000000000000000000
Приложения:
gorbunova2005:
спасибо))) а то завтра контроша
Похожие вопросы
Предмет: Русский язык,
автор: Дробысшева
Предмет: Другие предметы,
автор: SvehaK
Предмет: Литература,
автор: nanobanan
Предмет: Геометрия,
автор: АБРАКАДАБР3