Предмет: Математика,
автор: lol433264
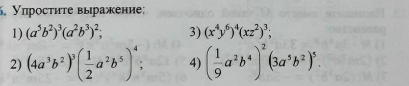
упростите выражение
Приложения:
Ответы
Автор ответа:
1
на 1 будет 45
на 2 будет 92
на 3 будет 2
на 4 будет 18
Похожие вопросы
Предмет: Математика,
автор: Аноним
Предмет: Русский язык,
автор: alisa0915
Предмет: Английский язык,
автор: yfnfif4
Предмет: Математика,
автор: PolinaSemenova58
Предмет: Геометрия,
автор: сонясонясоня1