Предмет: Алгебра,
автор: khodykinaanastasiia
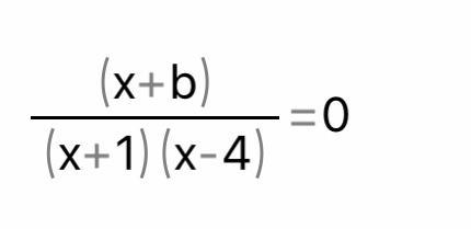
помогите пожалуйста
, задание закреплено
Приложения:
Ответы
Автор ответа:
0
Оно не решаешься, тупо нет решения и ответа, ссори
Похожие вопросы
Предмет: Обществознание,
автор: лололовка123
Предмет: Алгебра,
автор: greepun18
Предмет: Українська література,
автор: lesyasenkiv
Предмет: История,
автор: розалия3345
Предмет: Математика,
автор: Bananas2006