Предмет: Математика,
автор: rabotnic1515
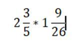
Вычислите, ответ запишите в виде ДЕСЯТИЧНОЙ дроби
Приложения:
Ответы
Автор ответа:
1
Ответ:
9/10
Пошаговое объяснение:
перемножай по отдельности
Автор ответа:
0
Ответ:
.......вот так
9,1- девять целых 1 десятая
Похожие вопросы
Предмет: Экономика,
автор: Урало4кА
Предмет: Математика,
автор: ilyuhapetrosyan
Предмет: Русский язык,
автор: zxcvvbb
Предмет: История,
автор: ЮлианнаКуликова
Предмет: Математика,
автор: lizajackevi4