Предмет: Математика,
автор: kolerting
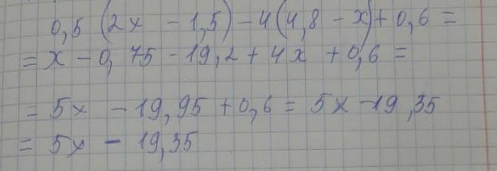
4. Раскройте скобки и приведите подобные
слагаемые: 0,5(2x – 1,5) — 4(4,8 –x) + 0,6
Ответы
Автор ответа:
1
надеюсь, что помог. Удачи
Приложения:
Похожие вопросы
Предмет: Физика,
автор: winchester24
Предмет: Обществознание,
автор: vanilka15
Предмет: Математика,
автор: polinailyashenko
Предмет: Математика,
автор: Аноним