Предмет: Химия,
автор: arsenarulla123
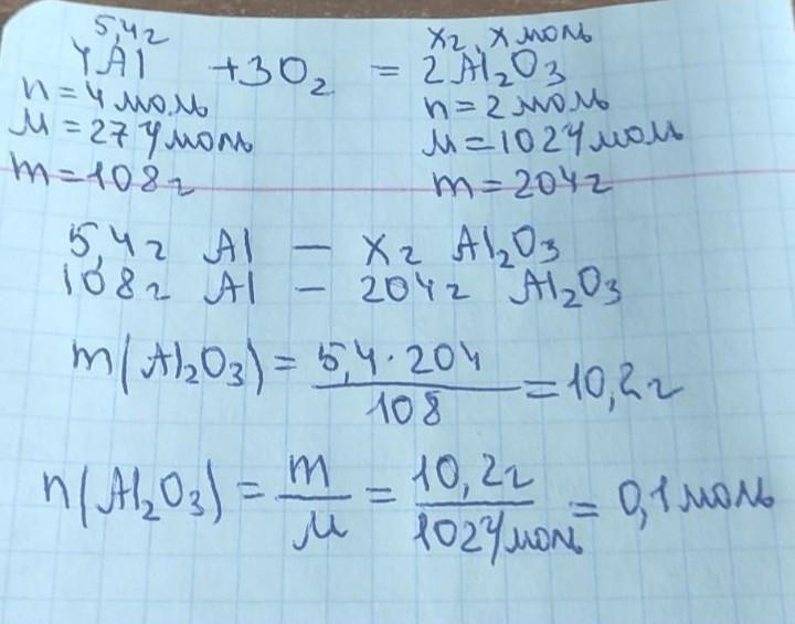
При взаимодействии 5,4 г алюминия с кислородом образовался оксид алюминия. Вычислите массу и количество вещества полученного оксида алюминия.
Ответы
Автор ответа:
0
Вот как бы да.. надеюсь понятно
Приложения:
Похожие вопросы
Предмет: Математика,
автор: 199996
Предмет: Литература,
автор: nastyakolosova3
Предмет: Физика,
автор: EXspirit
Предмет: Математика,
автор: edinstvennaya1
Предмет: Биология,
автор: sofiyasukhinin