Предмет: Алгебра,
автор: MaximMoper
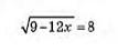
Найдите ОДЗ уравнения:
Приложения:
Ответы
Автор ответа:
1
Ответ:
это будет ОДЗ
Похожие вопросы
Предмет: Литература,
автор: peca20658
Предмет: Физика,
автор: Аноним
Предмет: Русский язык,
автор: Asenka0702
Предмет: Математика,
автор: lolamon81