Предмет: Математика,
автор: Аноним
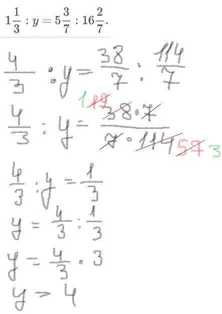
Реши уравнение помогите пожалуйста
Приложения:
Ответы
Автор ответа:
0
Ответ:
у = 4
Пошаговое объяснение:
см фото
Приложения:
Похожие вопросы
Предмет: Алгебра,
автор: Аноним
Предмет: Русский язык,
автор: MCFEAR192
Предмет: Биология,
автор: teiZo
Предмет: Биология,
автор: Akbina23764