Предмет: Математика, автор: buio44q

Помогите решить интеграл

Приложения:

Ответы

Автор ответа: MatemaT123
1

Ответ:

\frac{C}{20}-\frac{1}{40(5x^{4}+3)^{2}} \quad , \quad C-const;

Пошаговое объяснение:

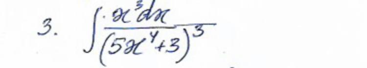
\int\ {\frac{x^{3}dx}{(5x^{4}+3)^{3}}} \ ;

d(5x^{4}+3)=((5x^{4})'+3')dx=20x^{3}dx;

\int\ {\frac{x^{3}dx}{(5x^{4}+3)^{3}}} \ = \frac{1}{20} \int\ {\frac{20x^{3}dx}{(5x^{4}+3)^{3}}} \ = \frac{1}{20} \int\ {\frac{d(5x^{4}+3)}{(5x^{4}+3)^{3}}} \ ;

Введём замену:

t=5x^{4}+3;

\int\ {\frac{dt}{t^{3}}} \ = \int\ {\frac{1}{t^{3}}} \, dt = \int\ {t^{-3}} \, dt = \frac{t^{-3+1}}{-3+1}+C=\frac{t^{-2}}{-2}+C=-\frac{1}{2t^{2}}+C, \quad C-const;

Возвращаемся к замене:

\frac{1}{20}(-\frac{1}{2(5x^{4}+3)^{2}}+C)=\frac{C}{20}-\frac{1}{40(5x^{4}+3)^{2}} \quad , \quad C-const;

Похожие вопросы
Предмет: Математика, автор: muhammad14