Предмет: Алгебра,
автор: ozornim
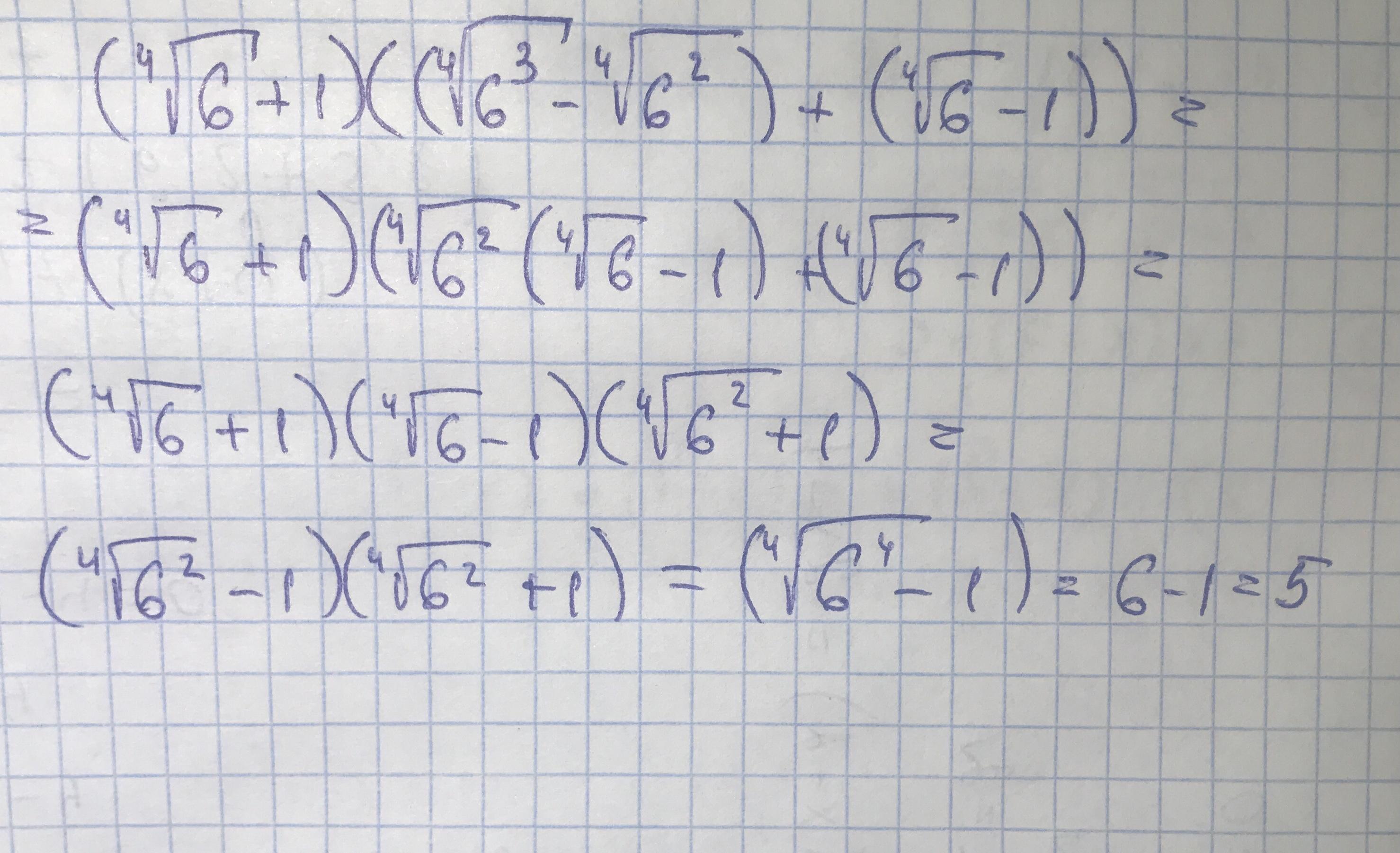
Помогите упростить выражение
Приложения:
Ответы
Автор ответа:
0
Ответ:
Во второй скобке раскладываем на множители способом группировки, а дальше применяем формулу разности квадратов
(Смотри фото)
Объяснение:
Приложения:
Похожие вопросы
Предмет: История,
автор: kseniyava0806
Предмет: Математика,
автор: иваниванов1
Предмет: Математика,
автор: МарияТроценко
Предмет: Математика,
автор: Shoxa1653
Предмет: Математика,
автор: Аноним