Предмет: Математика, автор: tor532751

Вычислите определенные интегралы, используя замену переменной.

Приложения:

Ответы

Автор ответа: Miroslava227
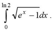
1

Ответ:

замена:

 {e}^{x}  - 1 =  t \\  {e}^{x}  = t + 1 \\  {e}^{x} dx =dt  \\dx =   \frac{dt}{ {e}^{x} }  =  \frac{dt}{t + 1}  \\ t1 =  {e}^{ ln(2) }  - 1 =2 - 1 = 1  \\ t2 =  {e}^{0}  - 1 =  - 1

\int\limits \frac{ \sqrt{t} dt}{t + 1}  \\

делаем еще одну замену:

 \sqrt{t}  = u \\ t =  {u}^{2}  \\ dt = 2udu

Замену переменных делать не будем, так как один из пределов равен корню из (-1). В Полученный интеграл подставим все замены и тогда найдем численное решение.

\int\limits \frac{u \times 2udu}{ {u}^{2} + 1 }  = 2\int\limits \frac{ {u}^{2} }{ {u}^{2}  + 1} du =  \\  = 2\int\limits \frac{ {u}^{2} + 1 - 1 }{ {u}^{2}  + 1} du =  \\  = 2\int\limits \: du - 2\int\limits \frac{du}{ {u}^{2}  +1 }  =  \\  = 2u - 2arctg(u) + C=  \\  = 2(u - arctg(u)) + c=2(\sqrt{{e}^{x}-1}-arctg(\sqrt{{e}^{x}})+C

подставляем пределы:

2(1-arctg(\sqrt{1})-(0-arctg({\sqrt{-1}}))=\\=2(1-\frac{\pi}{4})=2-\frac{\pi}{2}

Похожие вопросы
Предмет: Английский язык, автор: mila19rus

Find examples of the tense forms in the text.



Text
Customs officers are multi-skilled and can move through different work areas. Some work areas involve working in shifts or overtime, indoors or outdoors. Most officers wear uniform and work closely with public. Customs officers must be competent and correctly apply customs laws and regulations when they:
- examine passengers and their baggage at airports and sea ports;
- clear cargo and transport at check-points and warehouses;
- process documents and collect duties;
- interdict the traffic of smuggling;
Customs officers use a wide range of tools and technology, such as computers, metal detectors, X-ray machines and scanners. There are also canine enforcement teams where dogs are trained to detect narcotics, explosives and currency.
Thousands of passengers pass through international airports every day. Many of them are questioned, some are searched and some are charged or punished with penalties if they break laws. This work requires attention and concentration and sometimes intuition. Travelers are often tired or upset and they can be difficult to deal with. To act with courtesy and diplomacy at all times and stay calm however provoked is an important part of the job.
The Customs Service involves law enforcement, and staff must display the highest personal and professional conduct in fulfilling their duties. Team work is essential to successful operation of all departments of the Customs, therefore Customs officers cooperate with other law enforcement agencies such as the Police, Border guards, Tax Police, Federal Security Bureau (FSB), etc.
There are career prospects within the Customs where staff can work at different areas of the organization to learn more and to move to another level.
Предмет: Математика, автор: Андрюшка2008