Предмет: Русский язык,
автор: miraskaribai64
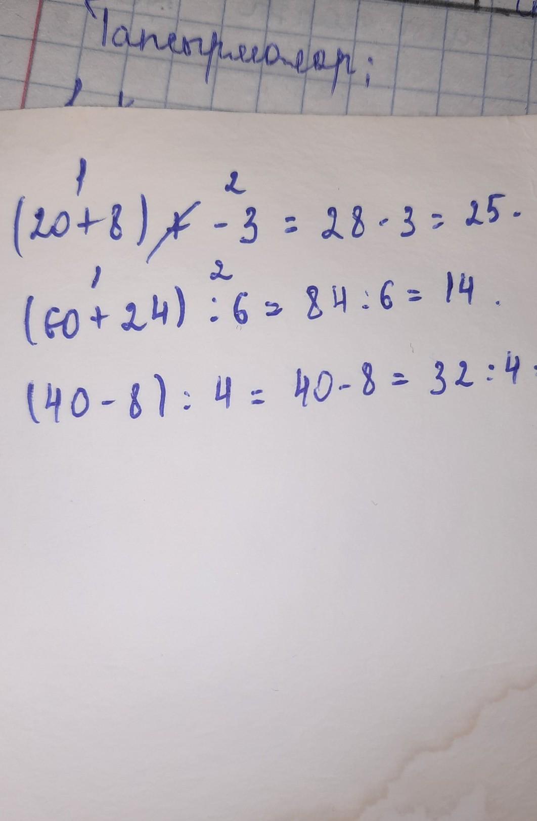
Тиімді тәсілмен орында
(20 + 8) - 3 =
( 60 + 24) : 6 =
( 40 - 8) : 4 =
Ответы
Автор ответа:
19
Ответ:
На фото как решать,....
Приложения:
Похожие вопросы
Предмет: Алгебра,
автор: Никита11111111111111
Предмет: Математика,
автор: gansen
Предмет: Биология,
автор: ViolettaNagornaya
Предмет: Математика,
автор: Каризая
Предмет: Математика,
автор: Аноним