Предмет: Математика,
автор: gazizzheksenbai
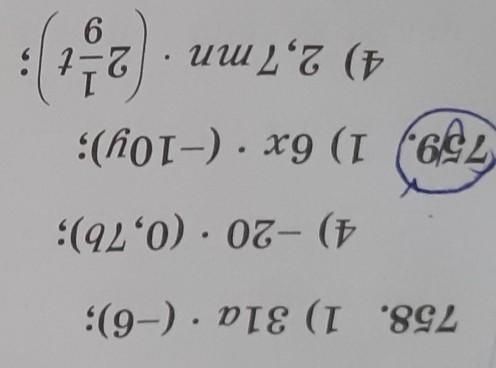
помагите пж 758,759
1)31а×(-6)
2) 5/9×(-45с)
3)0,36x×(-y)
4)-20×(0,7b)
5)7/11×(3/7d)
6)-1,2×(-5z)
759
1)6x×(-10y)
2)-3,4a×(80b)
3)71/12c×15/7d
4)2,7mn×(21/9t)
5)-1,1(50a-c)
6) (23,5x-1/6y)×(-6)
Приложения:
Ответы
Автор ответа:
19
Ответ:
аллалелплбсьатвтчттч
Приложения:
gazizzheksenbai:
спс
можно 759
??!
можно номер 759пж
Похожие вопросы
Предмет: Математика,
автор: evgenyabasyuk
Предмет: Литература,
автор: tanyushashabun
Предмет: Қазақ тiлi,
автор: Вальтер616
Предмет: Алгебра,
автор: annakordina
Предмет: Математика,
автор: DanilBST