Предмет: Алгебра,
автор: ml716
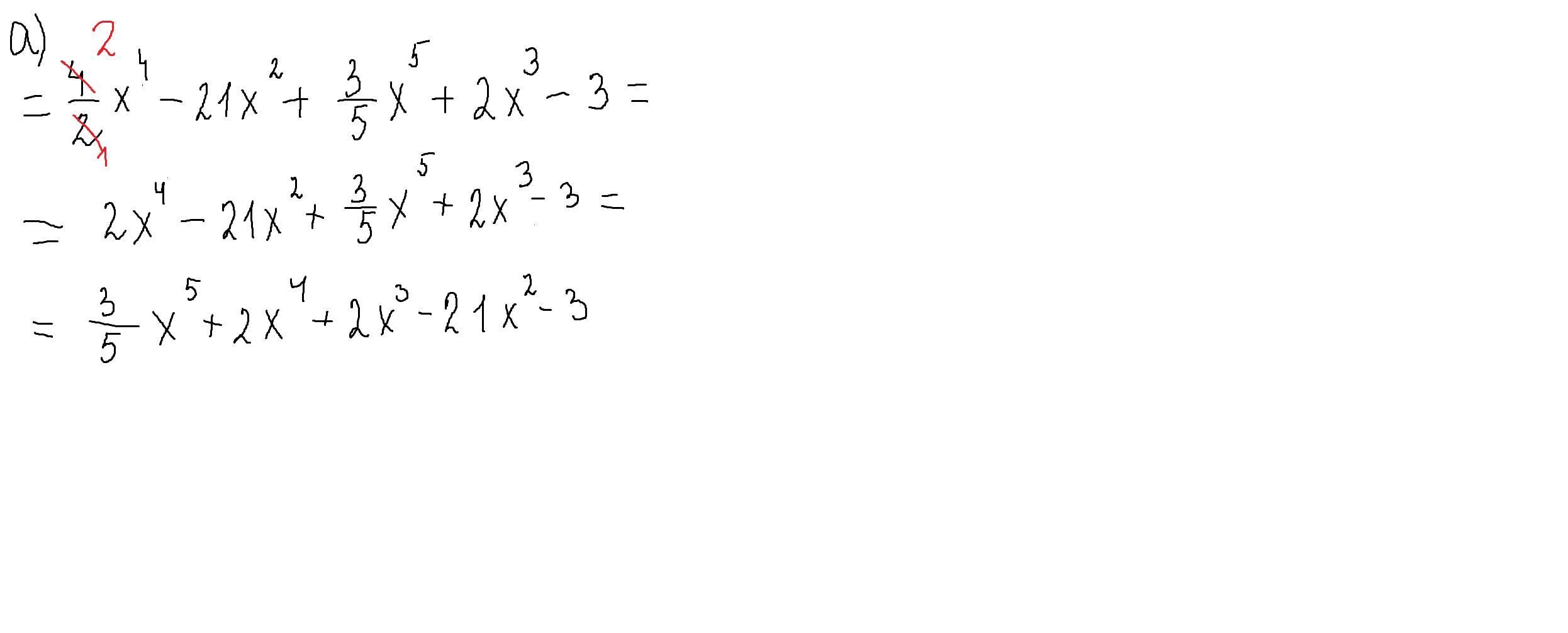
Приведите многочлен к стандартному виду, Укажите его степень и свободный член. Номер 20.15 буква а только
Приложения:
Ответы
Автор ответа:
0
Ответ:
это многочлен 5 степени и свободный член равен " - 3"
Объяснение:
Приложения:
Похожие вопросы
Предмет: Русский язык,
автор: misha0123
Предмет: Химия,
автор: Сашенька001
Предмет: Українська література,
автор: balashovmaxim
Предмет: Физика,
автор: AndronKers
Предмет: Геометрия,
автор: nura20061