Предмет: Математика,
автор: Аноним
вычислите.
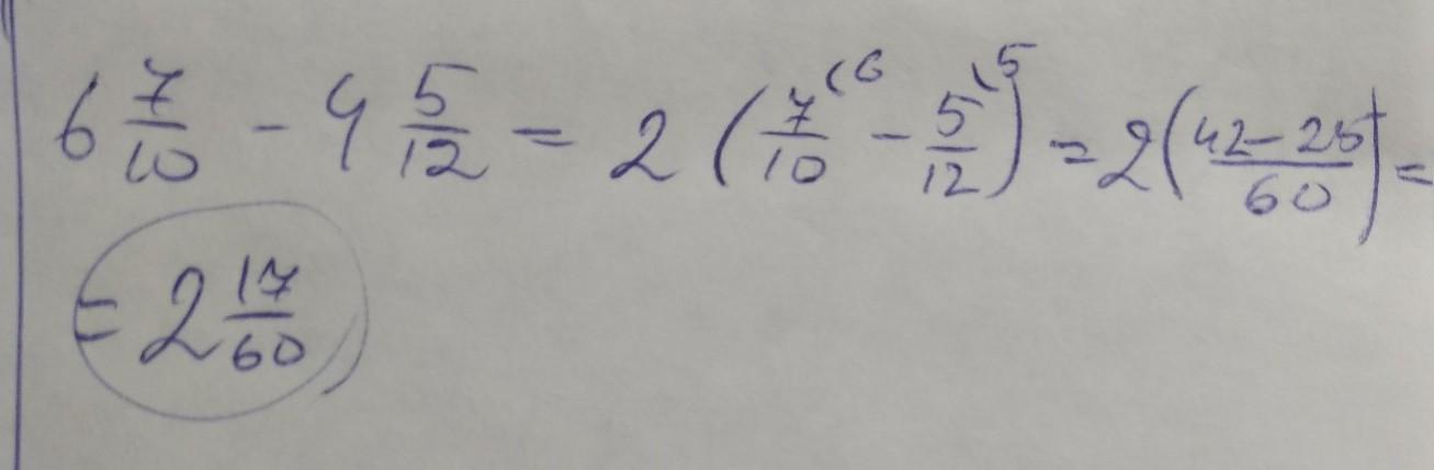
6 7/10-4 5/12
Ответы
Автор ответа:
2
Ответ:
2 17/60
Пошаговое объяснение:
Если что в кружке ответ
Приложения:
Автор ответа:
0
Пошаговое объяснение
Приложения:
zarashalabayeva:
Ответ 2 17/60
Похожие вопросы
Предмет: Биология,
автор: Evvks
Предмет: Математика,
автор: mnastena99
Предмет: Русский язык,
автор: kosterinaol
Предмет: Математика,
автор: defaultbotname
Предмет: Математика,
автор: Baldex