Предмет: Математика,
автор: help5233
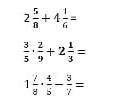
Решите пожалуйста пожалуйста пожалуйста
Приложения:
Ответы
Автор ответа:
1
Ответ на фото
Пошаговое объяснение:
Приложения:
Похожие вопросы
Предмет: Английский язык,
автор: polina200466
Предмет: Английский язык,
автор: polinka11132
Предмет: Математика,
автор: DashaPanova
Предмет: Математика,
автор: Karinaale
Предмет: Математика,
автор: tlenskaya8015