Предмет: Математика,
автор: atvman
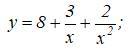
Помогите найти производную первого порядка. (без фотомача, пожалуйста!!!)
Приложения:
Ответы
Автор ответа:
1
Ответ:
Пошаговое объяснение:
Приложения:
Похожие вопросы
Предмет: История,
автор: sok5552
Предмет: Математика,
автор: kodin1985
Предмет: Английский язык,
автор: VovaStolyrov
Предмет: Литература,
автор: arishka48
Предмет: Физика,
автор: timurfaizov02p144n0