Предмет: Математика,
автор: polinalajkez
Реши уравнение:
2046-у=784
Ответы
Автор ответа:
1
Ответ:
Пошаговое объяснение:
Приложения:
Автор ответа:
1
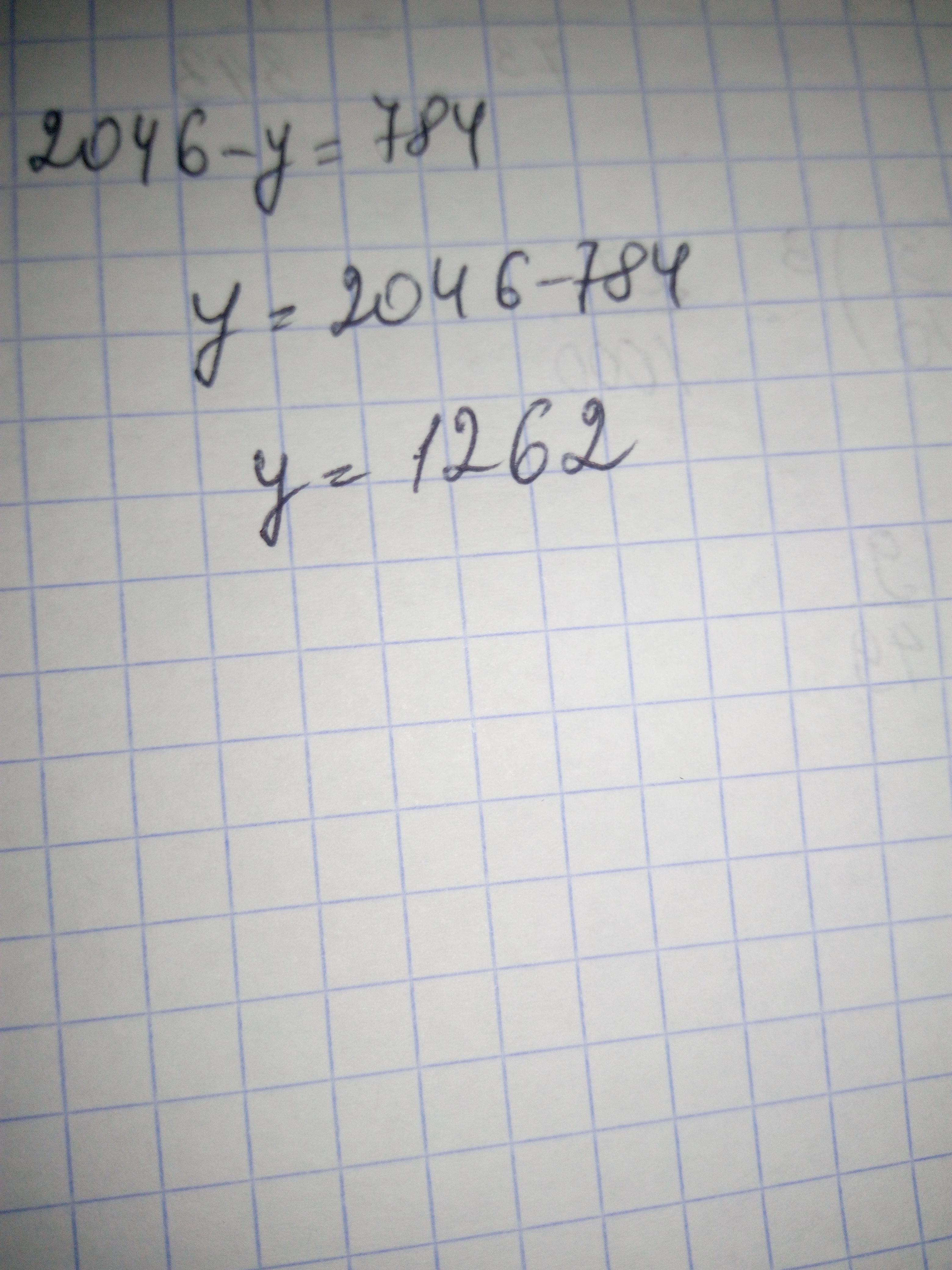
Решение:
2046-y=784
y=2046-784
y=1262
Ответ: 1262
Похожие вопросы
Предмет: Математика,
автор: Никуша2004
Предмет: Химия,
автор: zhenya95
Предмет: Литература,
автор: KriSs11111
Предмет: Физика,
автор: nadejdaeafremova
Предмет: Алгебра,
автор: yulia2812