Предмет: Математика, автор: rogozhnikova2021

!!!!!!!!!!!!!!!!!!!!!!!!!!!! срочно

Приложения:

Ответы

Автор ответа: Miroslava227
0

Ответ:

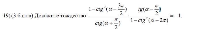
 \frac{1 -  {ctg}^{2} ( \alpha  -  \frac{3\pi}{2} )}{ctg( \alpha  +  \frac{\pi}{2}) }  \times  \frac{tg( \alpha  -  \frac{\pi}{2} )}{1 -  {ctg}^{2} ( \alpha  - 2\pi)}  =  \\  =  \frac{1 -  {tg}^{2} ( \alpha )}{ - tg( \alpha )}  \times  \frac{( - ctg( \alpha ))}{1 -  {ctg}^{2} ( \alpha )}  =  \\  =  \frac{1 -  \frac{ { \sin }^{2} ( \alpha )}{ { \cos }^{2}  (\alpha )} }{ - tg( \alpha )}  \times  \frac{( - ctg( \alpha ))}{1 -  \frac{ { \cos }^{2} ( \alpha )}{ { \sin}^{2}( \alpha ) } }  =  \\  =   \frac{ctg( \alpha )}{tg( \alpha )}  \times  \frac{ { \cos }^{2} ( \alpha ) -  { \sin }^{2}  (\alpha )}{ { \cos }^{2} ( \alpha )}  \times  \frac{ { \sin }^{2}  (\alpha )}{ { \sin}^{2} (\alpha ) -  { \cos}^{2} (\alpha )  }  =  \\  =    \frac{ctg( \alpha )}{tg( \alpha )}  \times  {tg}^{2} ( \alpha ) \times  \frac{( - ( { \sin }^{2} (\alpha )  -  { \cos }^{2} (\alpha) )) }{ { \sin}^{2}  (\alpha ) -  { \cos}^{2}( \alpha ) }  =  \\  =  ctg( \alpha ) \times tg( \alpha ) \times ( - 1)  = \\  =   - \frac{1}{tg( \alpha )}  \times tg( \alpha ) =  - 1

Похожие вопросы
Предмет: Русский язык, автор: egor242839
Предмет: Математика, автор: снерароарорпро
Предмет: Математика, автор: silamiaso1