Предмет: Математика,
автор: evaa1234
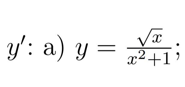
Срочно!! пожалуйста!!! Найти y
'
Приложения:
Ответы
Автор ответа:
0
Пошаговое объяснение:
Похожие вопросы
Предмет: История,
автор: trachuk79
Предмет: Литература,
автор: MPolinaM
Предмет: Литература,
автор: kirakosyan71
Предмет: Математика,
автор: maks0515
Предмет: История,
автор: Danchick1411