Предмет: Алгебра,
автор: EdwardSnoyn123
Решите с пояснениями..
Приложения:
Ответы
Автор ответа:
0
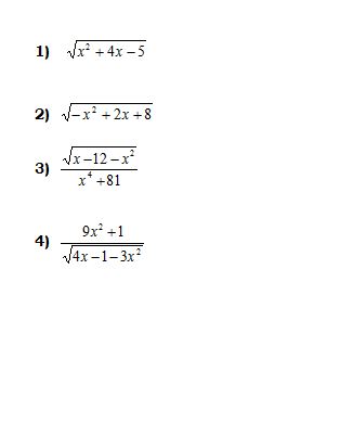
Видимо, нужно найти область определения
1) x^2 + 4x - 5 >= 0
(x + 5)(x - 1) >= 0
x = (-oo, -5] U [1, +oo)
2) -x^2 + 2x + 8 >= 0
x^2 - 2x - 8 <= 0
(x - 4)(x + 2) <= 0
x = [-2, 4]
3) x^4 + 81 > 0 при любом х, поэтому нас интересует только числитель.
-x^2 + x - 12 >= 0
x^2 - x + 12 <= 0
D= 1^2 - 4*12 < 0 решений нет.
4) -3x^2 + 4x - 1 > 0. Знаменатель не может равняться 0.
3x^2 - 4x + 1 < 0
(x - 1)(3x - 1) < 0
x = (1/3, 1)
1) x^2 + 4x - 5 >= 0
(x + 5)(x - 1) >= 0
x = (-oo, -5] U [1, +oo)
2) -x^2 + 2x + 8 >= 0
x^2 - 2x - 8 <= 0
(x - 4)(x + 2) <= 0
x = [-2, 4]
3) x^4 + 81 > 0 при любом х, поэтому нас интересует только числитель.
-x^2 + x - 12 >= 0
x^2 - x + 12 <= 0
D= 1^2 - 4*12 < 0 решений нет.
4) -3x^2 + 4x - 1 > 0. Знаменатель не может равняться 0.
3x^2 - 4x + 1 < 0
(x - 1)(3x - 1) < 0
x = (1/3, 1)
Автор ответа:
0
ответ во вложениях...............................
Приложения:
Похожие вопросы
Предмет: Математика,
автор: makstopone39
Предмет: Химия,
автор: dariaevchenko11
Предмет: История,
автор: Lichfield
Предмет: Физика,
автор: madambaz99
Предмет: Информатика,
автор: нанананастя