Предмет: Алгебра,
автор: ata221
Помогите! Очень нужно.
Решить неравенство, обязательно с чертежом.

Решить уравнение
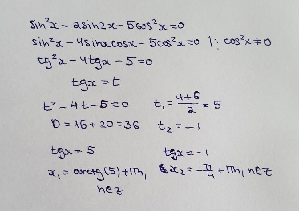
sin^2(x) - 2sin2x - 5 cos^2(x) = 0
Ответы
Автор ответа:
1
Ответ:
решение на фотографиях
Приложения:
ata221:
премного благодарна, спасибо!
Похожие вопросы
Предмет: Алгебра,
автор: Ніка2003
Предмет: Математика,
автор: nikolajp
Предмет: География,
автор: Zhenya200011
Предмет: Музыка,
автор: Molecula111
Предмет: Информатика,
автор: EnriqueDezoxe