Предмет: Физика,
автор: mmirshohidova1936
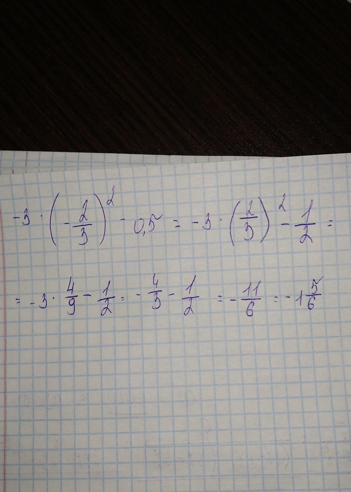
-3×(-2/3)²-0,5
пож помогите
Ответы
Автор ответа:
0
Объяснение:
там получается минус одинацать шестых
Автор ответа:
1
решение находится на фото, надеюсь хорошо видно
Приложения:
Похожие вопросы
Предмет: Математика,
автор: smilealiun
Предмет: Русский язык,
автор: mbuh1
Предмет: Русский язык,
автор: NURA511
Предмет: Химия,
автор: osichkinaolga