Предмет: Алгебра,
автор: alidxb
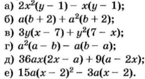
Помогите плиз
Просто дз надо сделать , а я не понимаю
Приложения:
Аноним:
упростить или на множители разложить?
Представить выражение в виде произведения трёх множителей
надеюсь, что я правильно тебя поняла (решение прикрепила)
непонятно что ???
на множители умеете раскладывать ?
например первое
на множители умеете раскладывать ?
например первое
как ответ спам лучшим делать .... непонятно, если второй ответ правильный и полный {{{{{{{{{{{{{{{{{{{{{{
Ответы
Автор ответа:
1
............................................................................
Приложения:
Похожие вопросы
Предмет: География,
автор: krisik111
Предмет: Другие предметы,
автор: irinkamargo
Предмет: Английский язык,
автор: chaika25
Предмет: Математика,
автор: Anna1855
Предмет: Физика,
автор: Аноним