Предмет: Алгебра,
автор: bangtan1679
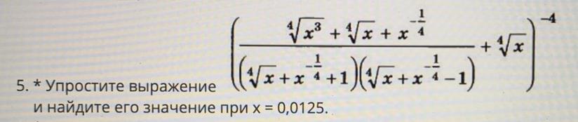
Помогите пожалуйста с этим заданием. Заранее Спасибо!
Приложения:
KEKLOL232:
МНЕ ПОМОГИТЕ
Ответы
Автор ответа:
2
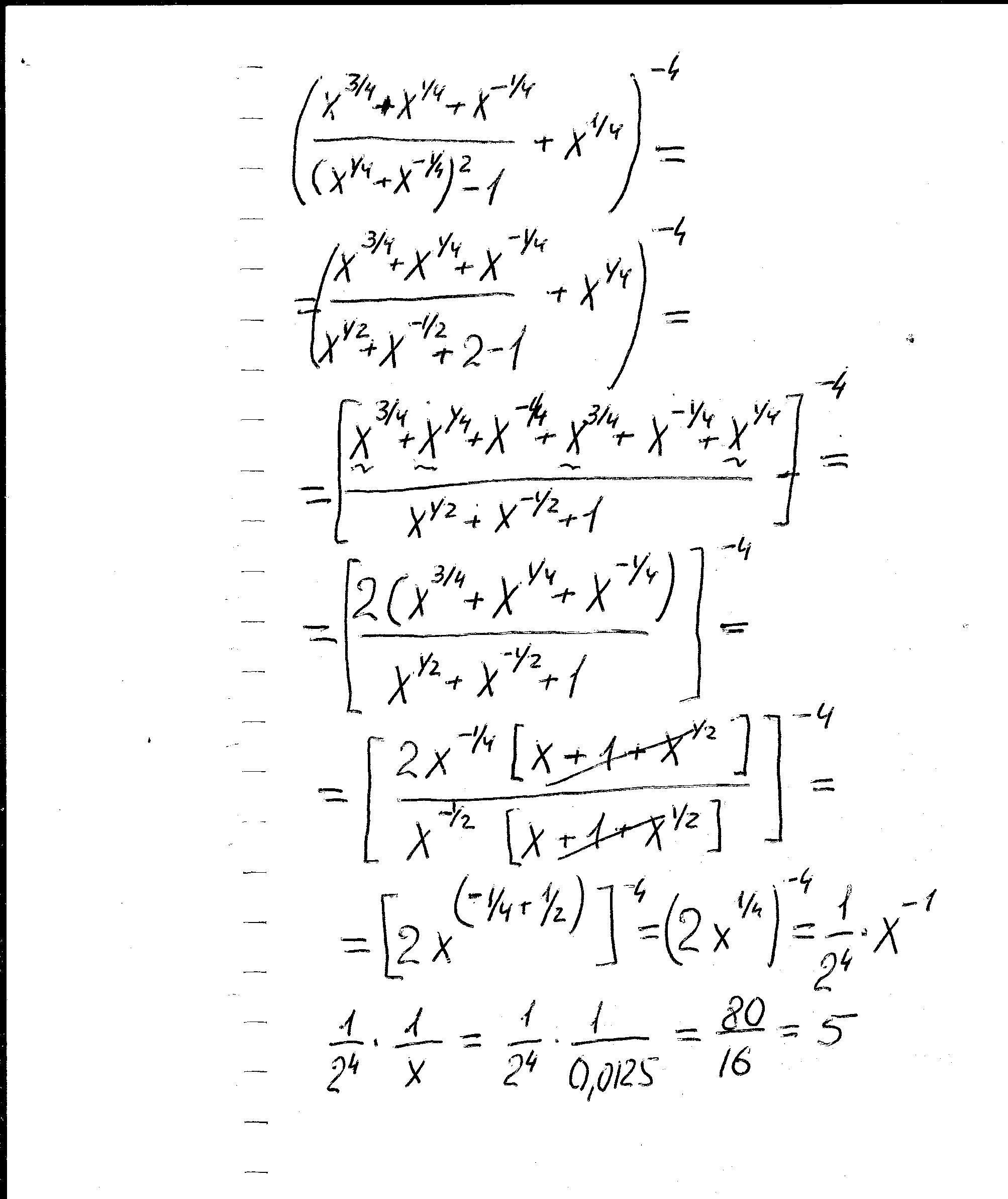
Ответ:
5
Объяснение:
смотри приложение
Приложения:
Спасибо огромное!
Похожие вопросы
Предмет: Физика,
автор: Hamadan
Предмет: Математика,
автор: Firefox12321
Предмет: Українська мова,
автор: koiadz
Предмет: Литература,
автор: LOLYOUz
Предмет: Математика,
автор: вика2154