Предмет: Информатика, автор: andr376rus

Помогите пожалуйста это из кр, если не сдам поставят 2, прошу пожалуйста
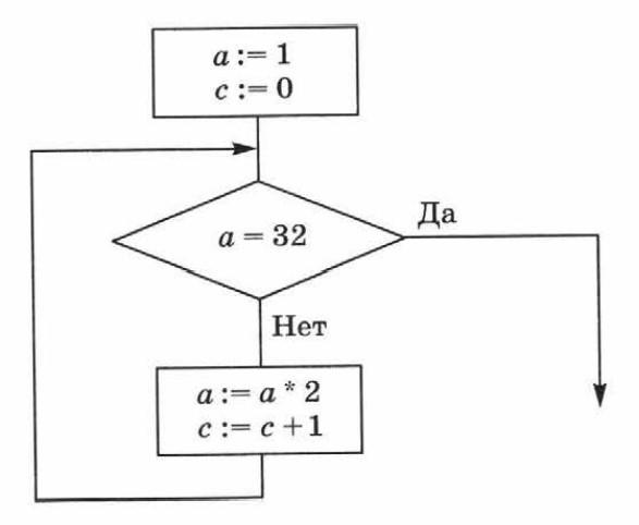
3. Определите значение переменных а и с после выполнения фрагмента алгоритма.

Приложения:

Ответы

Автор ответа: kolyacomya
1

Відповідь:

a=32

c=5

Пояснення:

Похожие вопросы
Предмет: История, автор: cusatowa
1.Когда началась Вторая мировая война?

2.Когда началась Великая Отечественная война?

3.Укажите название плана немецкого командования по захвату СССР.

4.Назовите фамилию политического деятеля, первым объявившим советскому народу о начале Великой Отечественной войны? Как назывался план немецкого командования по захвату нашей страны?

5.Кто объявил советскому народу о начале Великой Отечественной войны? С какой речью он обратился к жителям нашей страны? Какими словами завершалось обращение советского правительства о начале войны с фашистской Германией?

6. Патриотическая песня, ставшая своеобразным гимном защиты Отечества. Назовите её авторов.

7. Расскажите о самом известном агитационном плакате военного времени.

8.В стране были образованы специальные органы власти. Расшифруйте их названия, а также другие аббревиатуры, употребляемые в годы Великой Отечественной войны.

БМ – …

САУ – …

ГКО –…

НКО – …

РККА – …

СВГ – …

СМЕРШ – ….

СССР – ...

ЦШПД –...

9. В какой город хотели перенести ставку Верховного Главнокомандования, в случае захвата врагом Москвы?

10. Перечислите народные комиссариаты, которые были эвакуированы в Челябинскую область? Где они размещались и кто их возглавлял?

11. В годы Великой Отечественной войны Челябинск получил неофициальное название – Танкоград. Почему? Какие заводы вошли в состав Танкограда?

12.Назовите модели танков, выпуск которых был освоен на Челябинском Кировском заводе и расшифруйте их аббревиатуры?

13.Что вы знаете об именных танках, сошедших с конвейера Танкограда?

14.Кто возглавлял Танкоград? Когда и в связи с чем он покинул Челябинскую область?

15.Где впервые показали свою мощь челябинские танки?

16.Трудящиеся каких областей выступили с инициативой создать Уральский Добровольческий танковый корпус? С какой битвы Великой Отечественной войны начали свой славный боевой путь и в каком последнем сражении принимали участие воинские соединения корпуса?

17.Эвакуированные заводы дали жизнь новым промышленным предприятиям региона. Назовите некоторые из них.

18. Назовите Героя, начальника политотдела Уральского Добровольческого танкового корпуса, чьим именем названа одна из улиц Курчатовского района г. Челябинска.

19.В честь какой знаменитой летчицы названа улица в Курчатовском районе Челябинска?

20. На каких памятниках Челябинска высечены слова: «Уральцы, Вам, чьи руки золотые, ковали здесь победу над врагом», «Создателям гвардейских минометов, оружия отмщенья и побед»?

21. Какое отношение город Челябинск имеет к подводным лодкам?

22. На каком предприятии был освоен выпуск легендарных «Катюш». В каком бою «Катюша» впервые дала свой первый залп?

23.Чей голос ежедневно сообщал советскому народу сводки Советского информбюро? Назовите имя и должность этого абсолютно гражданского человека, который был в фашистском списке людей, подлежащих немедленной ликвидации, и за доставку в Берлин которого Гитлер предлагал 100 тысяч марок? Где в годы войны размещалась студия вещания Советского информбюро?

24.Когда было установлено звание Герой Советского Союза? Кто из южноуральцев был дважды удостоен звания Герой Советского Союза? Расскажите об одном из них.

25.Назовите Героев Великой Отечественной войны, в чью честь названы улицы в вашем населенном пункте?

26. Какие высшие учебные заведения прибыли в эвакуацию в Челябинскую область? Что с ними произошло после Великой Отечественной войны?

27. С гастролями в Челябинскую область приезжали многие известные артисты, музыканты, композиторы. Назовите некоторых из них.

28. Какие театры были эвакуированы в Челябинскую область?

29. Кто стоял во главе Челябинской области в годы Великой Отечественной войны?

30. Над каким фронтом и над какой областью осуществляла шефство Челябинская область в годы Великой Отечественной войны?

31. Что вам известно о поисковом движении в области? Какие поисковые отряды вы знаете? Приведите примеры эффективных экспедиций отрядов Челябинской области по местам боевых действий земляков.
Предмет: Биология, автор: Dimanyak