Предмет: Математика,
автор: ivan5klass
Нужна помощь срочно, хотя бы что-то
Приложения:
Ответы
Автор ответа:
1
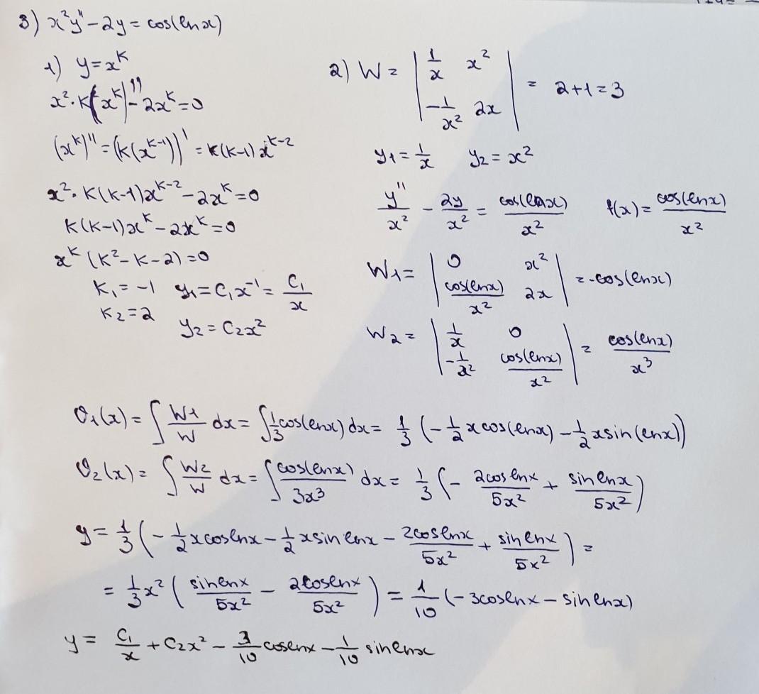
Ответ:
решение на фотографиях
Приложения:
Miroslava227:
3 задание добавила
Спасибо огромное!
Похожие вопросы
Предмет: Русский язык,
автор: ruder2002
Предмет: Математика,
автор: mialenka24
Предмет: Обществознание,
автор: zorinakatyunyaz
Предмет: Алгебра,
автор: max5244
Предмет: Математика,
автор: muwa85