Предмет: Алгебра,
автор: egege27
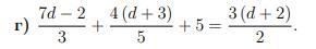
35 баллов за уравнение
Приложения:
Ответы
Автор ответа:
0
фотография сверху
........
Приложения:
Похожие вопросы
Предмет: Математика,
автор: aalenka04
Предмет: Русский язык,
автор: dafinka
Предмет: Другие предметы,
автор: nikitalebedy
Предмет: Музыка,
автор: Prinsess000
Предмет: Литература,
автор: oliapshyk4444