Предмет: Математика,
автор: Аноним
Обчисліть довжину кола, якщо площа круга дорівнює:
1) 28,26 см2
Ответы
Автор ответа:
3
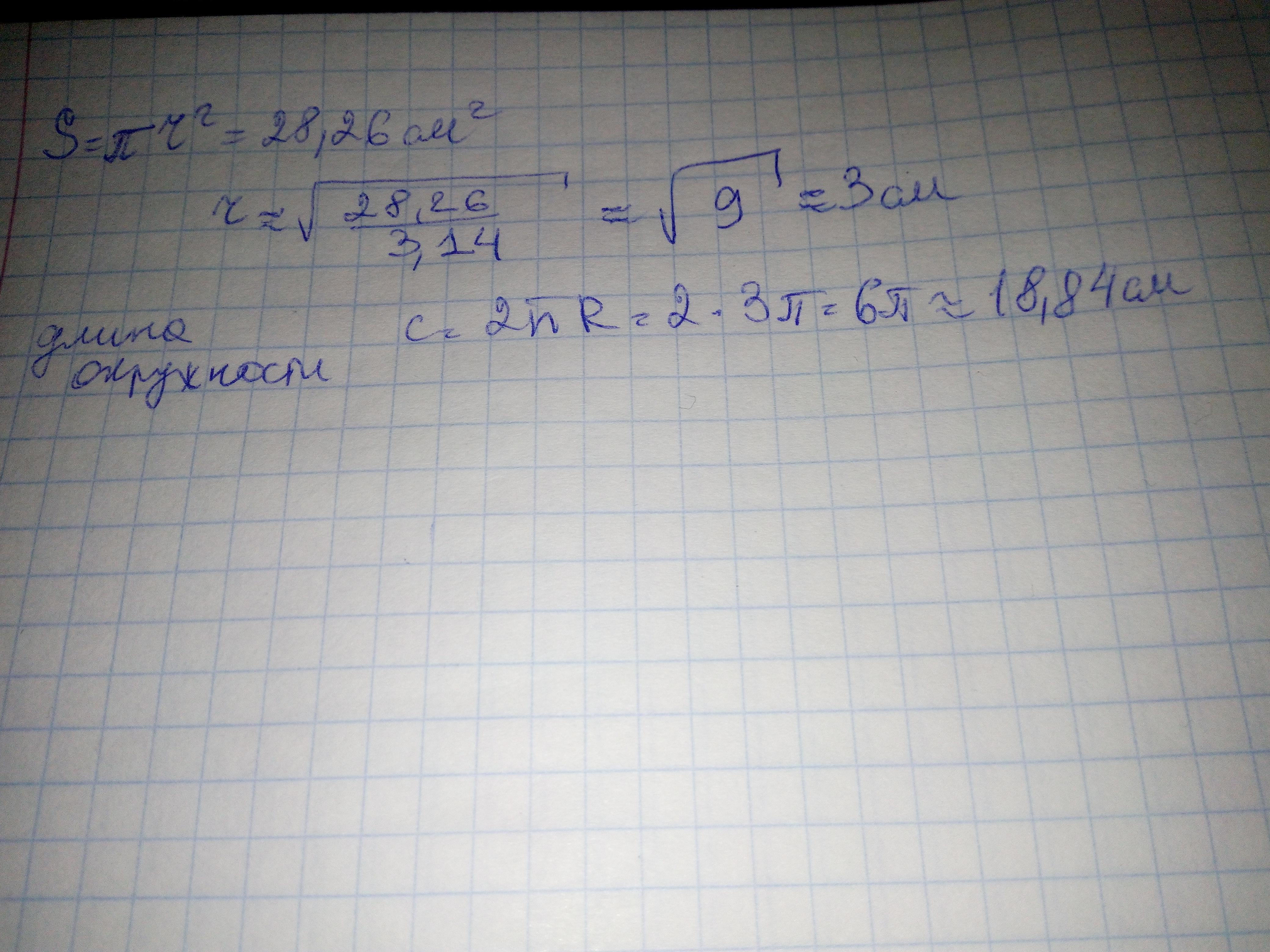
Площадь круга:
S = πR² = > R = √ (S/π) = √ (28,26/3,14) = √9 = 3 см
Длина окружности:
L = 2πR = 6,28*3 = 18,84 см
Ответ: 18,84 см
S = πR² = > R = √ (S/π) = √ (28,26/3,14) = √9 = 3 см
Длина окружности:
L = 2πR = 6,28*3 = 18,84 см
Ответ: 18,84 см
Автор ответа:
2
Ответ:
Пошаговое объяснение:
Приложения:
Похожие вопросы
Предмет: Математика,
автор: Vikavolk99
Предмет: Математика,
автор: nat6950
Предмет: Информатика,
автор: honeyastrid
Предмет: Математика,
автор: ВАЛЕРИЯЯЯЯЯЯЯЯЯЯя