Предмет: Математика,
автор: cheddercheddorovich9
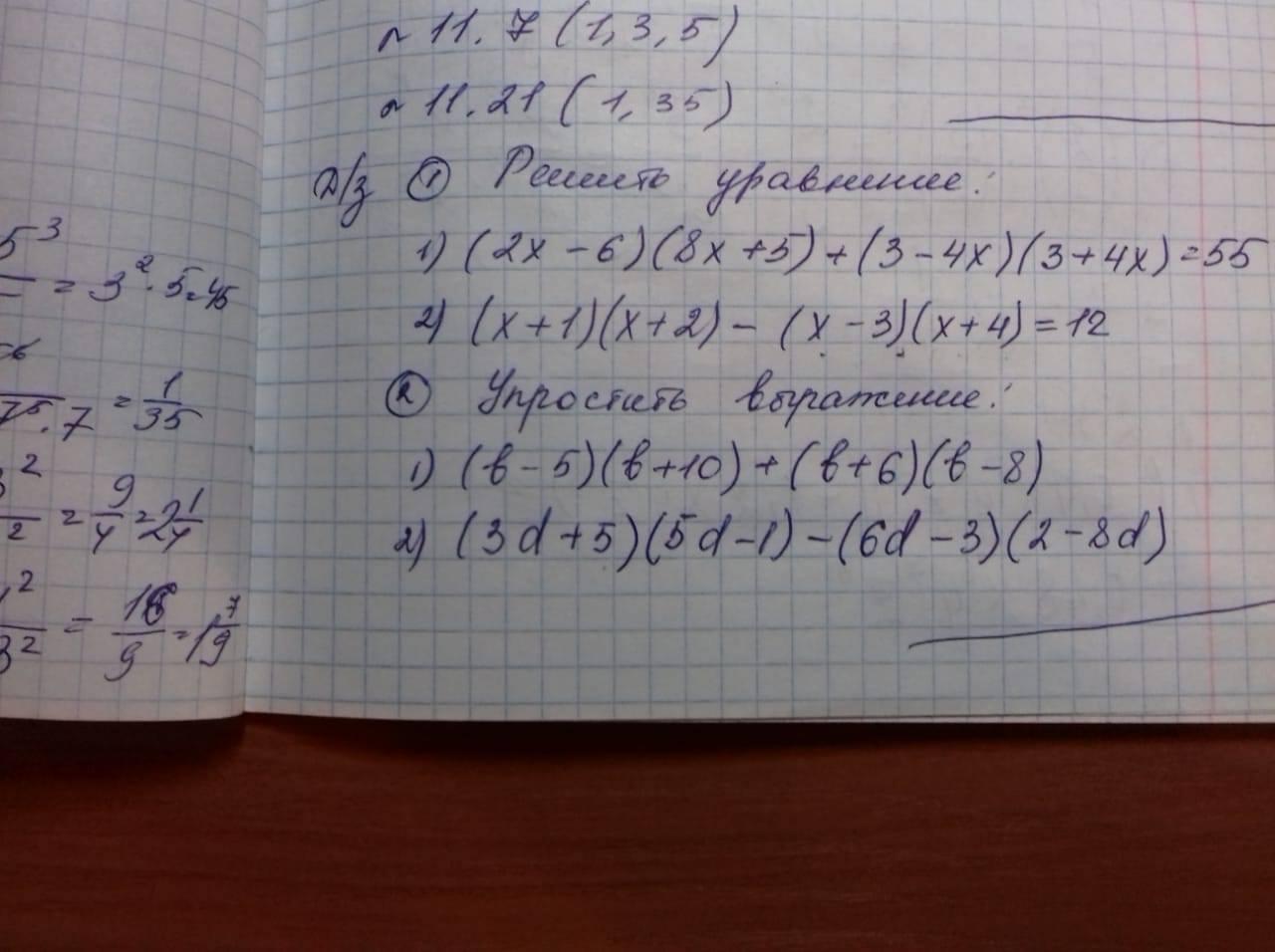
Реши уравнение, по данной картинке
Приложения:
Ответы
Автор ответа:
0
Ответ:
Пошаговое объяснение:
(2x-6)(8x+5)+(3-4x)(3+4x)=55
16x^2+10x-48x-30+9-16x^2=55
16x^2+10x-48x-16x^2=76
10x-48x=76
-38x=76
x= -2
(x+1)(x+2)-(x-3)(x+4)=12
x^2+3x+2-x^2-x+12=12
2x+14=12
2x=12-14
2x=-2
x= -1
(b-5)(b+10)+(b+6)(b-8) => b^2+5b-50+b^2-2b-48 => 2b^2+3b-98
(3d+5)(5d-1)-(6d-3)(2-8d)=> 63 d^2-14d+1
Автор ответа:
1
Ответ:Пошаговое объяснение:
(2x-6)(8x+5)+(3-4x)(3+4x)=55
16x^2+10x-48x-30+9-16x^2=55
16x^2+10x-48x-16x^2=76
10x-48x=76
-38x=76
x= -2
(x+1)(x+2)-(x-3)(x+4)=12
x^2+3x+2-x^2-x+12=12
2x+14=12
2x=12-14
2x=-2
x= -1
(b-5)(b+10)+(b+6)(b-8) => b^2+5b-50+b^2-2b-48 => 2b^2+3b-98
(3d+5)(5d-1)-(6d-3)(2-8d)=> 63 d^2-14d+1
Пошаговое объяснение:
Похожие вопросы
Предмет: Биология,
автор: aydana0200
Предмет: Биология,
автор: ineskaloginova1
Предмет: Английский язык,
автор: crumbii
Предмет: Геометрия,
автор: davidikkinder
Предмет: Биология,
автор: Sherlok12345678