Предмет: Информатика,
автор: bulatkharazov07
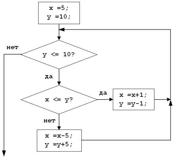
Определите значения переменной «Определите значения переменной «x» после выполнения фрагмента алгоритма.x» после выполнения фрагмента алгоритма.
Приложения:
Ответы
Автор ответа:
1
Ответ: 3
x y
5 10
6 9
7 8
8 7
3 12
Объяснение:
Похожие вопросы
Предмет: Математика,
автор: nata200219
Предмет: Русский язык,
автор: Pr200000
Предмет: Математика,
автор: AnastasiaSSM
Предмет: Математика,
автор: Віка0808
Предмет: Алгебра,
автор: Настенька192002