Предмет: Математика,
автор: OlyaLitvins0ka
Помогитееее, срочно, высшая математика
Приложения:
Ответы
Автор ответа:
1
Ответ:
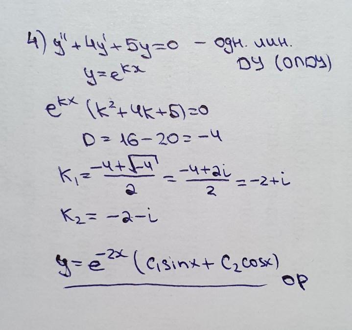
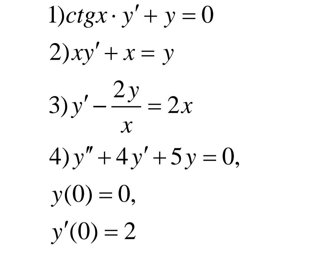
решение на фотографиях
Приложения:
Похожие вопросы
Предмет: Математика,
автор: Платик
Предмет: Математика,
автор: romanzaiytsev1
Предмет: Биология,
автор: Саня48939794
Предмет: Математика,
автор: Filindenis
Предмет: Биология,
автор: умняша6786543