Предмет: Алгебра,
автор: COMEK
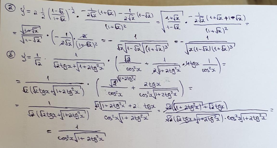
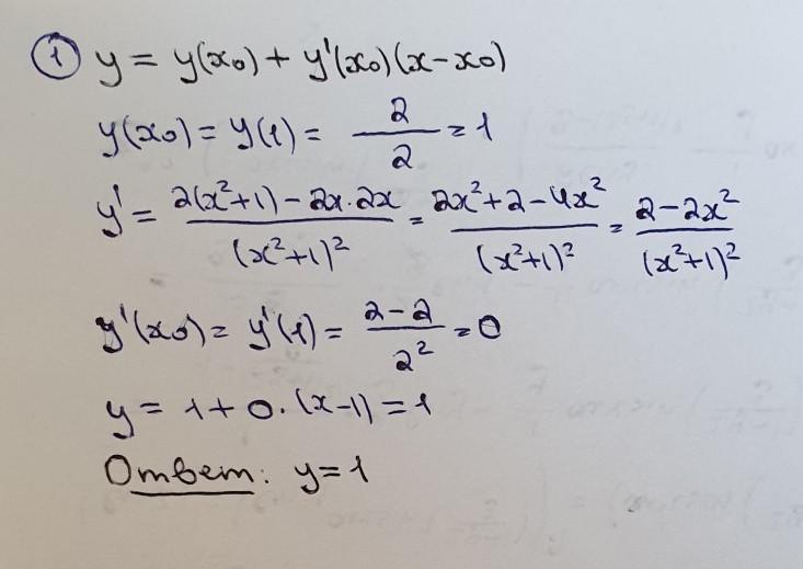
Помогите с решение. Производной(фото в закрепе)
Приложения:
Ответы
Автор ответа:
1
Ответ:
решение на фотографиях
Приложения:
Похожие вопросы
Предмет: Математика,
автор: serg821
Предмет: Русский язык,
автор: ева40
Предмет: Английский язык,
автор: kuzdan05
Предмет: Математика,
автор: ng85n
Предмет: Биология,
автор: Lenkis999