Предмет: Алгебра,
автор: anutacernigovskaa7
Пожалуйста срочноооо
Приложения:
Ответы
Автор ответа:
1
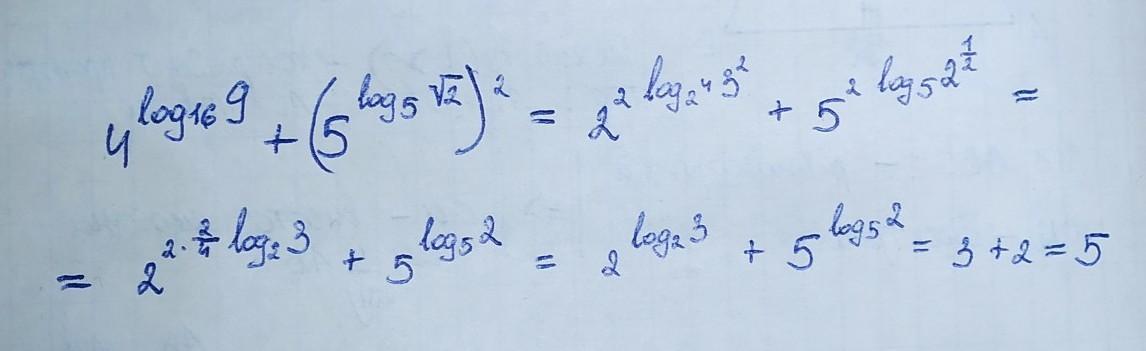
Ответ:
Вот, держи мой ответ, пожалуйста)
Приложения:
Похожие вопросы
Предмет: Другие предметы,
автор: igor2034
Предмет: Обществознание,
автор: gogger
Предмет: География,
автор: kyrnikovalera2
Предмет: Алгебра,
автор: 0Mishaj
Предмет: Литература,
автор: Sadig1505