Предмет: Алгебра,
автор: Karina5282
Помогите 6задание срочно пожалуйста!!
Приложения:
Ответы
Автор ответа:
0
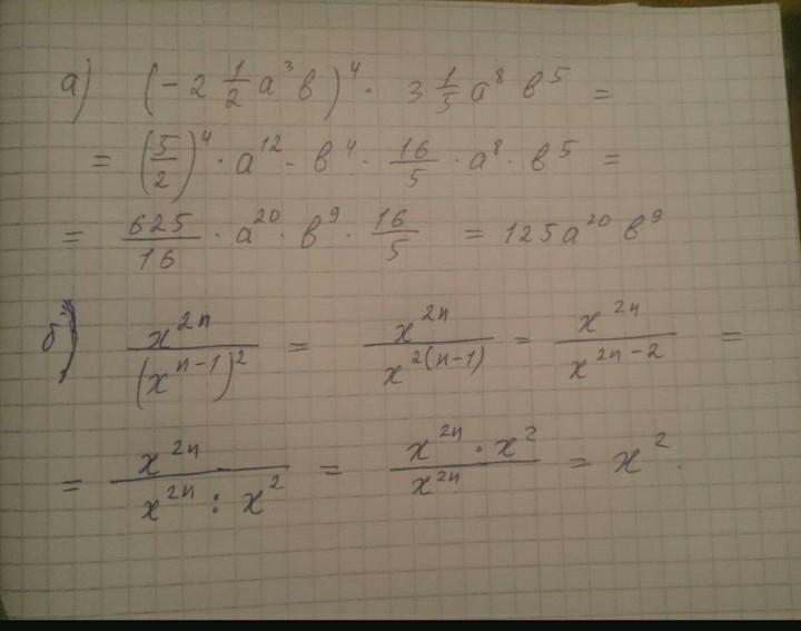
Ответ:
⬆️⬆️⬆️⬆️⬆️⬆️⬆️⬆️⬆️⬆️⬆️⬆️⬆️⬆️⬆️
Приложения:
Похожие вопросы
Предмет: Геометрия,
автор: buka2
Предмет: Математика,
автор: рафт
Предмет: Информатика,
автор: s11pkno1
Предмет: Литература,
автор: MishaTank
Предмет: Математика,
автор: jners2007