Предмет: Алгебра,
автор: aleksgoogl232
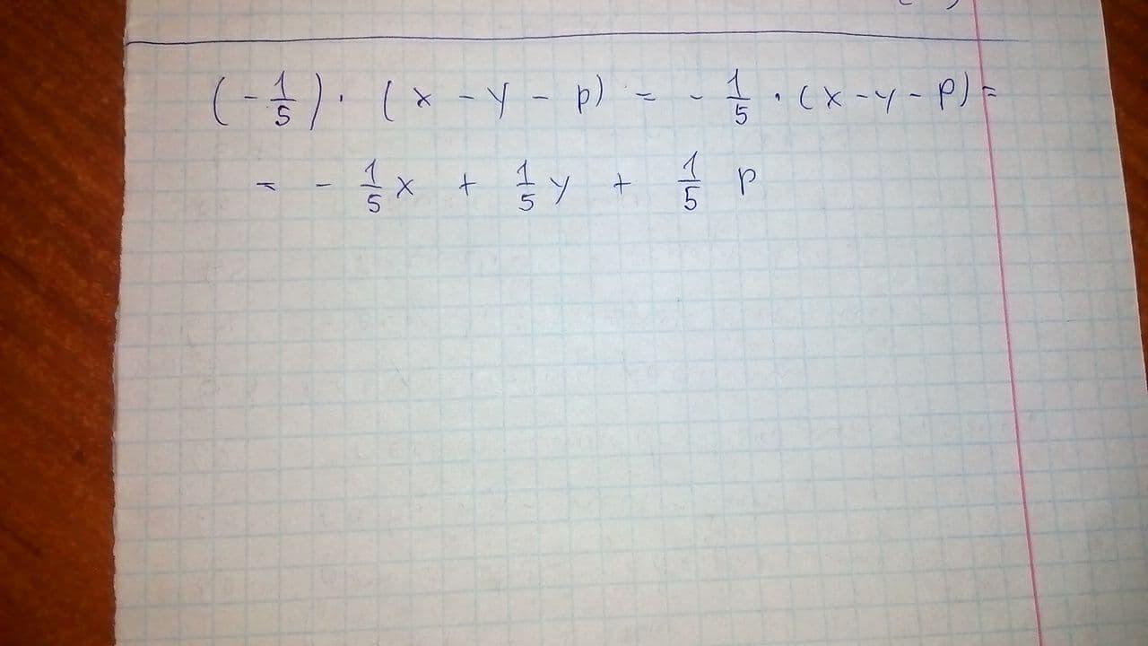
Найди произведение многочлена и одночлена (−1/5)⋅(x−y+p).
Ответ - (ответ сюдп)/(ответ сюда) x (ответ сюда) 1/5у (ответ сюда) 1/5 (ответ сюда)
Ответы
Автор ответа:
1
Ответ: Фото.
Объяснение:
Приложения:
Похожие вопросы
Предмет: Українська література,
автор: galiavanduka
Предмет: Английский язык,
автор: Аноним
Предмет: Математика,
автор: gdrfvbgg
Предмет: Литература,
автор: victoeiavolozh