Предмет: Алгебра,
автор: makienkodarina
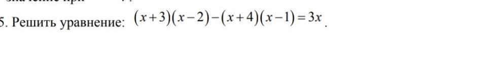
Решите уравнение,пожалуйстаааааааааааа. Алгебра 7 класс, помогите пожалуйста(
Приложения:
Ответы
Автор ответа:
1
Ответ:
х-2
вот ваш ответ это правильно
makienkodarina:
Спасибо большое, только можно пожалуйста с решением? (((
???
Автор ответа:
1
Ответ:
см файл
Объяснение:
Приложения:
Спасибо большое!)
Похожие вопросы
Предмет: Литература,
автор: BlackRazor502
Предмет: Русский язык,
автор: Perfilev
Предмет: Математика,
автор: 380505671321
Предмет: Математика,
автор: dianadianadani
Предмет: География,
автор: Danya1910