Предмет: Геометрия,
автор: agolov
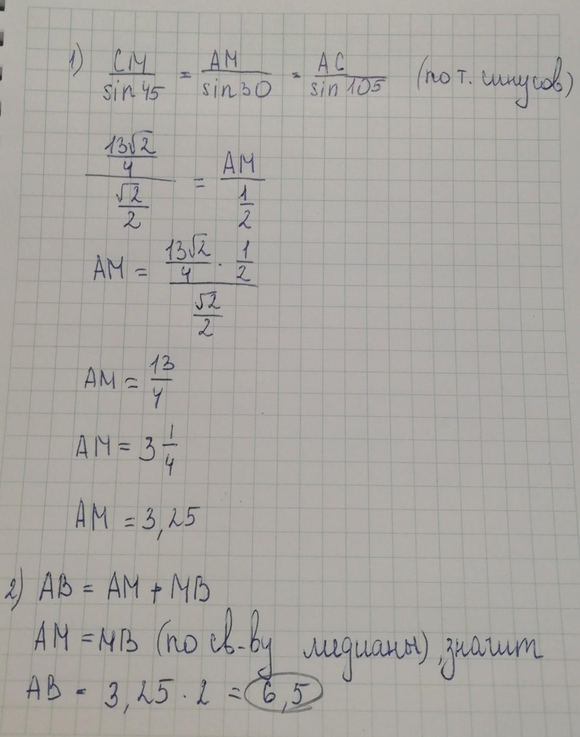
помогите решить задачи по геометрии
Приложения:
Ответы
Автор ответа:
0
Ответ:
6,5
Надеюсь, что такое решение подойдёт
Приложения:
Похожие вопросы
Предмет: Обществознание,
автор: Smalek937
Предмет: География,
автор: MKJ721
Предмет: Алгебра,
автор: Scarlet2014
Предмет: Биология,
автор: valera253