Предмет: Алгебра, автор: zheltov964

найдите производную пожалуйста

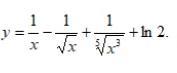
Приложения:

Ответы

Автор ответа: Miroslava227
1

y' = ( {x}^{ -1 }  -  {x}^{ -  \frac{1}{2} }  +  {x}^{ -  \frac{3}{5} }  +  ln(2))'  =  -  {x}^{ - 2}  +  \frac{1}{2}  {x}^{ -  \frac{3}{2} }  -  \frac{3}{5}  {x}^{ -  \frac{8}{5} }  =  -  \frac{1}{ {x}^{2} }  +  \frac{1}{2x \sqrt{x} }  -  \frac{3}{5x \sqrt[5]{ {x}^{3} } }

Похожие вопросы