Предмет: Химия,
автор: Аноним
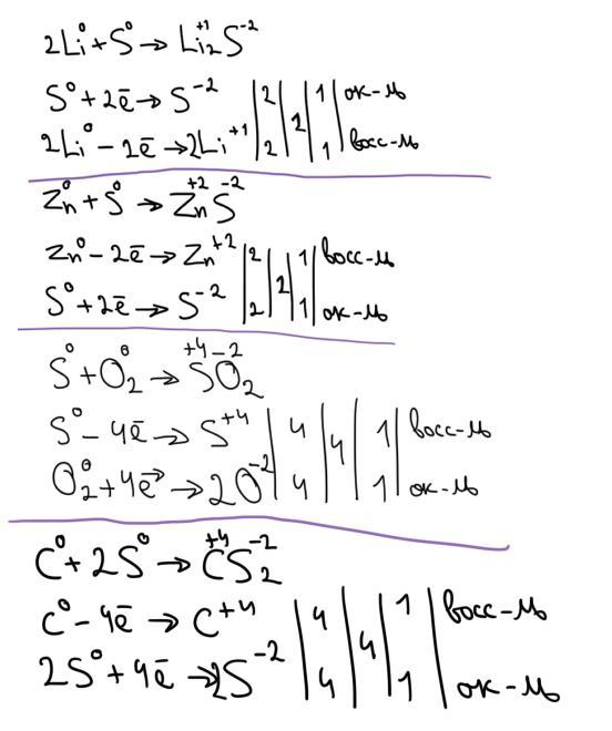
Помогите составить ОВР. Даю 60 баллов.
Приложения:
Ответы
Автор ответа:
1
Ответ:
Ответ на фото
Объяснение:
Приложения:
Аноним:
Спасибо, Мессии. ;))
Похожие вопросы
Предмет: Алгебра,
автор: zlolz
Предмет: Математика,
автор: odeo4ka
Предмет: Русский язык,
автор: kolvon96
Предмет: Алгебра,
автор: skidan2002
Предмет: Математика,
автор: sofiyalavrenteva