Предмет: Физика,
автор: fdsfewfsdfas
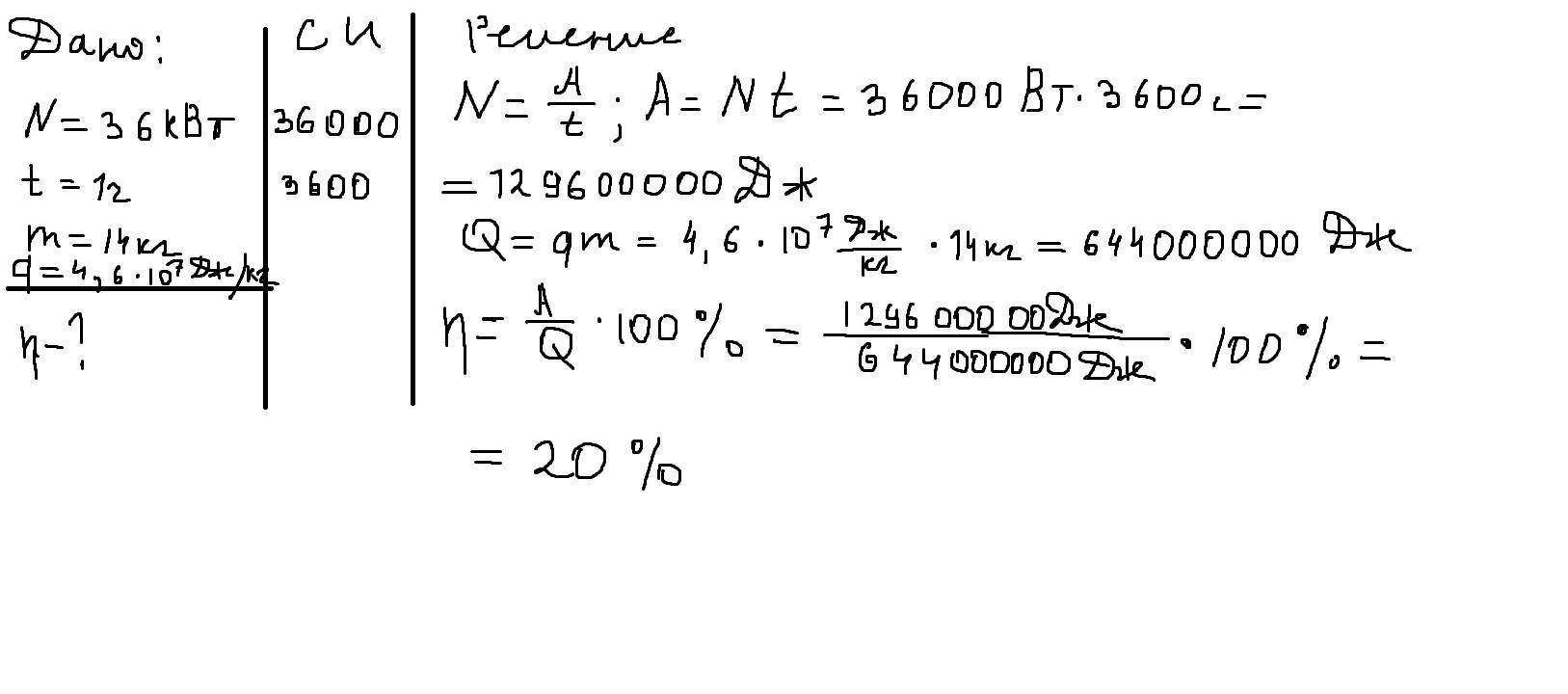
Двигатель внутреннего сгорания мощностью 36 кВт за 1 ч работы израсходовал 14 кг дизельного топлива. Определите КПД двигателя. ПОЖАЛУЙСТА С ДАНО:
Ответы
Автор ответа:
1
если что-то не понятно пиши
Приложения:
Похожие вопросы
Предмет: Математика,
автор: Алиса250
Предмет: Математика,
автор: sofikko2011Kuzpvpk
Предмет: Математика,
автор: VIKAI9100
Предмет: Музыка,
автор: SofiyaLikhanova