Предмет: Математика,
автор: abelkenovaalina09
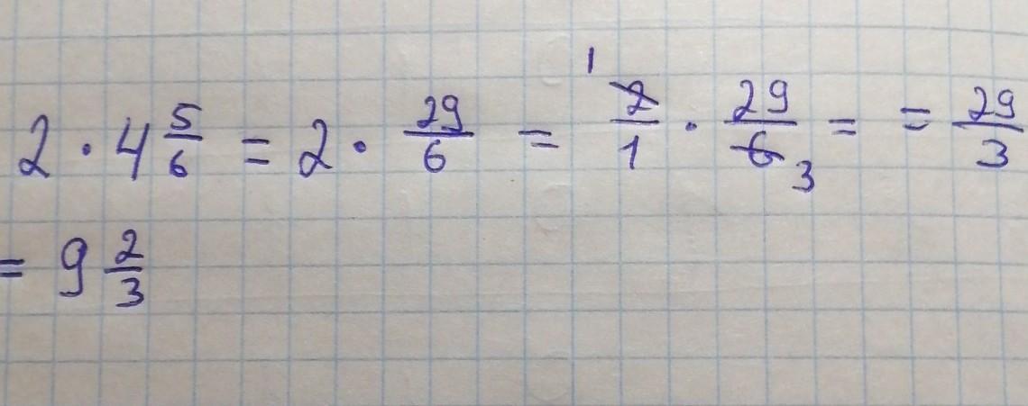
2×4 5/6=
помогите решить пример
Ответы
Автор ответа:
0
Надеюсь понятно. Фото немного обрезалось :_)
Приложения:
Похожие вопросы
Предмет: Математика,
автор: kunr11
Предмет: Геометрия,
автор: Kesha02
Предмет: Русский язык,
автор: sergqwe
Предмет: Геометрия,
автор: zarr191