Предмет: Математика, автор: taissiay39

помогите срочно даю 50 баллов уравнение 4​

Приложения:

miki68: (1 13/12-1 10/12)х=3/4; 1/4х=3/4; х=3/4*4/1; х=3
taissiay39: ща прверю
taissiay39: это не то
miki68: что не то, ты просишь №4 , я решил
taissiay39: ну ты решил не правильно

Ответы

Автор ответа: tkelli
0

Ответ:

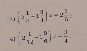
3) х = 4/9

4) х = 3


taissiay39: мне нужно раскрый ответ
taissiay39: срочно нужно прошууу
taissiay39: если можно решите в тетради и скиньте
taissiay39: срочно нужно у меня соч
tkelli: зайди в фотомаз там и понятно мне лень его писать
taissiay39: а как в него зайти я просто новичок
taissiay39: отправь туда сообщение и я зайду
tkelli: скачай приложение в плэй маркете напиши фотомаз и скачай там уже поймешь
taissiay39: ок
Похожие вопросы
Предмет: Русский язык, автор: lozhkinalana
Предмет: История, автор: iradimitroglo