Предмет: Алгебра,
автор: 4mosh
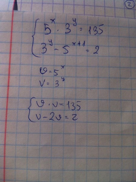
пожалуйста, помогите доделать
Приложения:
Ответы
Автор ответа:
0
v=2+5u Подставим в первое и решим его относительно новой переменной u*(2+5u)=135 5*u^2 +2u -135=0 какой-то косяк с дискриминантом получается
Автор ответа:
0
В принципе все нормально получается там дискриминант 2704 корень из него 52 u= -2+52 /10=5 5^x=5 x=1 отрицательный корень не берем, так как основание 5 больше нуля осталось найти другую переменную и через нее у
Похожие вопросы
Предмет: Алгебра,
автор: vmikitasenko
Предмет: Физкультура и спорт,
автор: Mmusaev359m
Предмет: Окружающий мир,
автор: daiteotvet95
Предмет: Химия,
автор: o1l7eg17